所屬科目:教甄◆資訊科技概論專業(電腦科)
1. 若 & 為 AND 位元運算子,執行下列 BITAND(28, 69)函數後,輸出結果為何?(A) 1 (B) 4 (C) 28 (D) 69
2. 執行下列 F(3) 函數後,輸出結果為何? (A) 36126 (B) 361263 (C) 36121263 (D) 33661212
2. 請問下列 C 語言程式片段,執行完後,b 的值為何?_____________
3. 下列函式的時間複雜度為何?_____________
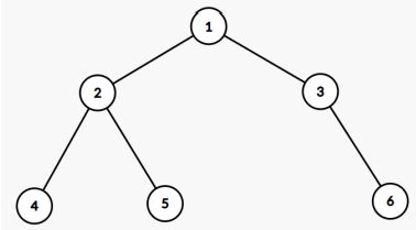
4. 有一個樹的結構如左下圖,請問執行右下的程式碼,結果為何?_____________
7. 若以霍夫曼編碼處理下列表格資料,試問下列那些字元的編碼為四個位元?_____________
9. 在深度學習神經網路中,進行卷積運算(如下圖),請問 D 的答案為何?
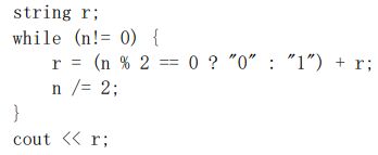
13. 若 n = 199,執行下列 C++ 程式片段後,輸出結果為______________
15. 若有一圖 (graph) 使用鄰接矩陣 (adjacency matrix) 表示如下,A 點到 J 點之最短距離為 _________
3. 最長共同子序列(Longest Common Subsequence,LCS)是動態規劃的一個經典應用。這個問題最早起源於 DNA 序 列的比對問題:如果有兩段 DNA 序列,它們有多相似呢? 現在給定兩個字串 String1 以及 String2,找出它們 最長共同子序列的長度程式碼如下所示,請完成...的程式部分。(本題 5 分) 【範例輸入】Enter String1: ABCDEEnter String2: BCD【範例輸出】3