所屬科目:自然科學科
1. 水具有異常高的比熱。這意味著什麼?(A) 在其沸點時,水從液態變為氣態(B) 需要大量的熱量來提高水的溫度(C) 冰在液態水中漂浮(D) 鹽水在比純水更低的溫度下結冰(E) 漂浮的冰可以為水體提供絕緣
2. 下列哪一種胺基酸最有可能出現在整合膜蛋白 (integral membrane protein)的跨膜區域(transmembrane domain)外側?(A) 帶電的胺基酸,如離胺酸 (lysine)(B) 極性胺基酸,如絲胺酸 (serine)(C) 特殊胺基酸,如脯胺酸 (proline)(D) 疏水性胺基酸,如纈胺酸 (valine)(E) 極性胺基酸,如甘胺酸 (glycine)
3. 若你發現了一種藥物,其可以阻止 Ca2+在細胞內作為第二信使 (second messenger)的作用。此藥物的作用標的最可能為下列何者?(A) 細胞膜 (plasma membrane)(B) 核膜 (nuclear membrane)(C) 內質網 (endoplasmic reticulum)(D) 粒線體 (mitochondria)(E) 高基氏體 (Golgi apparatus)
4. 酒精在細胞中藉由去除氫原子而被破壞。此種作用發生在哪個胞器中?(A) 溶酶體 (lysosome)(B) 光滑內質網 (smooth ER)(C) 過氧化物酶體 (peroxisome)(D) 粗糙內質網 (rough ER)(E) 高基氏體 (Golgi apparatus)
5. 各種類型的多醣 (polysaccharides)作為保健食品販售,主要作用為減少關節疼痛與增加靈活性,例如:葡萄糖胺 (glucosamine)、軟骨素 (chondroitin)和玻尿酸 (hyaluronate)。這些多醣在細胞中構成何種重要構造?(A) 細胞骨架 (cytoskeleton)(B) 細胞外基質 (extracellular matrix)(C) 核孔 (nuclear pores)(D) 細胞膜受體 (plasma membrane receptors)(E) 核糖體 (ribosome)
6. mRNA 疫苗相較於傳統疫苗最主要的差異為何?(A) mRNA 疫苗為減弱版本的病毒(B) mRNA 疫苗利用病毒載體來傳遞遺傳物質(C) mRNA 疫苗需要佐劑來增強免疫反應(D) mRNA 疫苗誘使細胞使用 mRNA 產生病毒蛋白(E) mRNA 疫苗為口服給藥而非注射給藥
7. 邦克列酸 (Bongkrekic acid)為一種致病毒素,存在於受致病型唐菖蒲伯克氏(Burkholderia gladioli)汙染後的穀物、椰子或濕麵條等食物中。以下針對此種毒素之描述何者正確?(A) 毒性弱,需要大量攝入才會引發疾病(B) 它會誘發細胞內無法控制的大量產生 ATP(C) 它干擾內線粒體內膜上的 ADP/ATP 轉換(D) 其不需要滲透至粒線體即可產生毒性(E) 高溫可以破壞其毒性
8. 被稱為解偶聯劑 (uncouplers)的藥物促進質子在膜間的擴散。如果糖解作用 (glycolysis)與檸檬酸循環 (citric acid cycle)的速率保持不變,使用解偶聯劑後,ATP 合成和氧消耗會有怎樣的變化?(A) ATP 合成和氧消耗都會減少。(B) ATP 合成和氧消耗都會增加。(C) ATP 合成會減少;氧消耗大致保持不變。(D) ATP 合成會減少;氧消耗會大大增加。(E) ATP 合成會增加;氧消耗會減少。
9. 關於鈉鉀幫浦 (sodium-potassium pump),下列哪一項描述正確?(A) 其作用需要消耗 ATP(B) 細胞內外鈉離子與鉀離子的濃度梯度驅動離子的移動(C) 為一種配體結合蛋白 (ligand binding protein)(D) 每次交換促使 3 個鈉離子進入細胞內,2 個鉀離子排出細胞外(E) 丹麥科學家延斯·克里斯蒂安·斯科 (Jens Christian Skou)於 1975 年發現鈉鉀幫浦
10. 多發性硬化症 (multiple sclerosis)是一種自體免疫疾病,其特徵是什麼部位被破壞?(A) 軸突小丘 (axon hillock)中的鈉通道(B) 形成髓鞘 (myelin sheath)的細胞(C) 蘭氏結 (node of Ranvier)(D) 突觸後神經肌肉接點的乙醯膽鹼受體 (acetylcholine receptors)(E) 神經末梢 (nerve ending)
11.近期日本小林製薬生產的紅麴保健品,不但在日本造成至少 5 人死亡,在台灣相關通報不良反應案件也多達 64 件,日本厚生勞動省宣布確認 puberulic acid 為致病物質。puberulic acid 致病機轉為何?(A) 具神經毒性,引發劇烈頭痛與意識模糊(B) 造成血管通透性增加,引發全身性發炎症狀(C) 誘發人體免疫反應,引發無法控制的器官衰竭(D) 具肝毒性,導致肝細胞壞死與纖維化(E) 破壞腎小管,引發腎衰竭
12.請指出荷爾蒙 (hormone)與其功能的不正確配對。(A) 人類絨毛膜性腺激素(human chorionic gonadotropin):刺激濾泡刺激素 (folliclestimulating hormone)分泌(B) 睪固酮 (testosterone):促進精子發生(C) 催產素 (oxytocin):誘導乳腺分泌乳汁(D) 前列腺素 (prostaglandin):刺激子宮平滑肌收縮(E) 甲狀腺激素(thyroid hormones):增加基礎代謝率
13. 當一個女孩跑步時,她的臉開始變紅。以下哪一項因素最有可能導致她臉紅?(A) 血管收縮 (vasoconstriction)(B) 血管擴張 (vasodilation)(C) 體溫增加(D) 血壓上升(E) 心跳加速
14. 以下哪一項不是血液 pH 值降低的結果?(A) 更多的氧氣釋放到身體組織(B) 血紅蛋白 (hemoglobin)的氧氣飽和百分比降低(C) 在細胞呼吸中消耗更多的氧氣(D) 血紅蛋白對氧氣的親和力增加(E) 刺激呼吸中樞降低呼吸速率
15. 下列哪一種形式的抗體會結合到肥大細胞 (master cell)上的受體,導致氣喘 (asthama)?(A) IgA(B) IgD(C) IgE(D) IgG(E) IgM
16. 約翰 (47 歲)剛被診斷出患有亨廷頓舞蹈症 (Huntington’s disease),這是一種由罕見顯性等位基因 (dominant allele)引起的疾病。他的女兒 (25 歲)育有一個 2 歲的兒子。家庭中其他成員皆無此疾病。約翰的女兒罹患這種疾病的概率為多少?(A) 0% (B) 25% (C) 50% (D) 75% (E) 100%
17. 請按正確順序排列聚合酶鏈式反應 (PCR; polymerase chain reaction)週期中的步驟:I. 引子黏接 (Annealing of primers): 冷卻以使引子與目標序列末端形成氫鍵。II. 引子延展 (Extension of primers): DNA 聚合酶將核苷酸添加到每個引子的 3'末端。III. DNA 變性 (Denaturation): 短暫加熱以分離 DNA 鏈。(A) I, II, III(B) I, III, II(C) II, III, I(D) III, II, I(E) III, I, II
18. 你從患者身上分離出病毒顆粒,但你不確定它們是腺病毒 (adenoviruses)還是流感病毒(influenza viruses)。哪一類生物分子的存在可以幫助你區分這兩種類型的病毒?(A) RNA(B) DNA(C) 蛋白質(D) 磷脂 (phospholipids)(E) 糖蛋白 (glycoproteins)
19. 新生哺乳動物有一種稱為棕色脂肪 (brown adipose tissue)的特殊組織,其中細胞將脂肪燃燒成二氧化碳,卻不捕捉能量來還原電子載體或驅動 ATP 形成。這些能量可能會用於什麼?(A) 從二氧化碳合成葡萄糖(B) 直接為肌肉收縮提供動力(C) 為需能量的合成反應提供能量(D) 產生熱能(E) 協助白色脂肪組織 (white adipose tissue)合成
20. 重症肌無力 (Myasthenia gravis)導致骨骼肌麻痺,最直接的治療方法可能是?(A) 增加可用的乙醯膽鹼受體 (acetylcholine receptors)的數量(B) 增加鈣離子進入肌漿網 (sarcoplasmic reticulum)的運動(C) 增加運動神經元 (motor neurons)上髓磷脂 (myelin)的數量和厚度(D) 增加骨骼肌 (skeletal muscles)細胞質中 ATP 的合成和活性。(E) 血漿置換術移除血液中的自體抗體 (autoantibody)
21. 邦克列酸被認為是造成寶林茶室食物中毒案的可能毒素,根據其結構下列敘述何者正確?(A) 一個邦克列酸分子共有 7 個雙鍵。(B) 以氫氧化鈉滴定邦克列酸,可觀察到四個當量點。(C) 邦克列酸無光學異構物。(D) 邦克列酸的解離百分率在胃中會降低。(E) 一莫耳邦克列酸與三莫耳 NaOH 反應後溶液呈中性。
22. 血紅素(Hemoglobin)為高等生物體內負責攜氧的蛋白質。負責與氧作用的單元為二價鐵的配位化合物,其結構如右圖所示。關於此化合物下列敘述何者錯誤。(A) 此結構中含有一個四牙配位基(ligand)。(B) 下方的配位基來自於胺基酸之側鏈。(C) 依照晶場理論,鐵的 d 軌域分裂(orbital splitting)成兩種能階。(D) 中心二價鐵可視為路易士酸。(E) 中心二價鐵的電子組態為[Ar]3d44s2。
23. 酵素與受質(Substrate, S)的反應可使用米氏動力學(Michaelis-Menten kinetics)來描述,其反應速率(r)如下所示:其中 Vmax和 Km 分別為酵素活性常數和米氏常數,根據此反應速率式選出錯誤的敘述。(A) 在特定條件下,受質的濃度不影響反應速率。(B) 受質濃度低時反應級數接近零級。(C) 酵素的濃度不影響反應級數。(D) Vmax可能受反應溫度所影響。(E) 酵素的濃度會影響反應速率。
24. 生理食鹽水為滲透壓與人體血液相近的氯化鈉水溶液,針對此溶液下列敘述何者正確?(A) 生理食鹽水的凝固點較純水低。(B) 生理食鹽水的蒸氣壓較純水為高。(C) 將等重氯化銀取代氯化鈉,可配置出等滲透壓之水溶液。(D) 滲透壓與氯化鈉濃度成反比。(E) 生理食鹽水的沸點較純水低。
25. 以熱力學的角度切入,蛋白質折疊的過程可由右圖表示,針對此圖選出正確的敘述。
(A) 折疊後蛋白質的熵(entropy)較未摺疊前高。(B) 折疊後蛋白質的自由能(free energy)較未摺疊前高。(C) 蛋白質折疊的過程不影響熵。(D) 折疊過程中蛋白質的熵下降,因此不符合熱力學第二定律。(E) 折疊過程中蛋白質的自由能下降,符合熱力學第二定律。
26. 人體均溫約為 308 K, 在冬天 273 K 氣溫下,肺活量2.00 L 的人需要吸入多少量的空氣才能完全充滿肺部?(A) 1.17 L。(B) 1.45 L。(C) 1.77 L。(D) 2.75 L。(E) 3.17 L。
27. 下列關於平衡常數的概念何者正確。(A) 平衡常數越大,反應速率越快。(B) 一反應之平衡常數越小,理論產率越低。(C) 改變反應物的壓力會影響平衡常數。(D) 改變反應物的濃度會影響平衡常數。(E) 平衡常數與反應的自由能變化無關。
28. 右圖為去氫異雄固酮荷爾蒙(DHEA)的結構,針對 DHEA選出正確的敘述。(A) DHEA 不含任何 CH3 官能基。(B) C=O 基團的碳為 sp3 混成軌域。(C) DHEA 的碳原子僅含 sp2 和 sp3 混成軌域。(D) DHEA 為平面分子。(E) DHEA 中的氧原子含一對孤對電子。
29. 硼中子捕獲療法是一種使用硼-10 配合照射中子驅動原子核反應的療法。已知自然界中硼僅有兩種同位素,且其平均原子量為 10.8。請問硼-10 的天然存在比(natural abundance)為何? (A) 5.0 %。 (B) 10.0 %。 (C) 15.0 %。 (D) 20.0 %。 (E) 25.0 %。
30. 下列何種組合可以形成緩衝溶液?(A) KCl + NaOH(B) HF + NaOH(C) KF + NaOH(D) HCl + HF(E) HCl + NaOH
31. 根據右表的半反應電位數據,選出正確的敘述。(A) 銅金屬電極可以將酸性水溶液的氫離子還原成氫氣。(B) 銅金屬的還原能力最強。(C) 在銅鋅電池中,鋅作為陰極。(D) 在鋅錳電池中,鋅作為陽極。(E) 在鐵錳電池中,錳作為陽極。
32. 以下現象何者與亨利定律(Henry's law)最相關?(A) 曼陀珠噴泉。(B) 花式溜冰。(C) 高山食物較難煮熟。(D) 潛水夫病。(E) 水垢的形成。
33. 關於膠體溶液的敘述何者錯誤?(A) 膠體溶液可由是否具備廷得耳效應來判別。(B) 牛奶為一種膠體溶液。(C) 空氣與 PM2.5 為一種膠體溶液。(D) 在膠體溶液加入電解質能引發聚沉效應。(E) 膠體溶液中僅含單一相(phase)。
34. 根據右圖的單位晶格(unit cell)結構可推斷此固體的化學式為?(A) Ba2TiO2。 (B) Ba4TiO3。(C) BaTiO3。 (D) BaTiO2。(E) BaTiO。
35. 新型冠狀病毒的流行促使首支以信使核糖核酸(mRNA)為技術基礎之疫苗的商業化。由於mRNA 的不穩定性,其必須保存於脂質奈米顆粒(LNP)中。COVID-19 疫苗中的脂質 LNP 為脂雙層結構,其中外層為中性脂質,而內層為可帶電脂質,用以穩定 mRNA。其中一種脂質之化學結構如下圖所示。進入人體後,LNP 會逐漸崩解以釋放出 mRNA 使人體產生免疫力。請由以上資訊選出對 LNP 錯誤的敘述。(A) 圖中所示的脂質應位於外層。(B) 在脂雙層結構中,mRNA 保存於親水端形成的空間。(C) 由題目敘述可推測 mRNA 應帶負電。(D) 由題目敘述可推測 LNP 內儲存 mRNA 的環境為酸性。(E) 若 LNP 進入胃部,其崩解應與酯官能基的反應有關。
36. 將以下氧化還原反應平衡後,係數為何?MnO₄⁻ + C₂O₄²⁻ + H+ → Mn²⁺ + CO₂ + H2O(A) 2, 2, 8, 2, 4, 4。(B) 1, 1, 8, 1, 2, 4。(C) 2, 5, 8, 2, 10, 4。(D) 1, 2, 8, 1, 4, 4。(E) 2, 5, 16, 2, 10, 8。
37. 依照藥物動力學的觀點來看,一個藥物經過 1 個半衰期的時間,血液中藥物濃度會下降一半;經過 2 個半衰期,剩下 25%。當經過 4.32 個半衰期,藥物濃度僅剩下原來的 5%。此估算過程將藥物的代謝視為幾級反應?(A) 0 級。 (B) 0.5 級。 (C) 1 級。 (D) 1.5 級。 (E) 2 級。
38. 右圖為一理想氣體分子的動能分布,請根據此圖選出正確的敘述。(A) 三種分布差異為改變壓力造成。(B) 壓力越大,動能分布越廣。(C) 三種分布差異為改變溫度造成。(D) 溫度越低,動能分布越廣。(E) 平均動能為分布曲線最頂端的點。
39. 已知下列反應的反應熱(ΔH)為:利用以上數據計算可生成乙炔的反應熱為?2C + H2 → C2H2(A) 226 kJ。 (B) –226 kJ。 (C) 452 kJ。 (D) –452 kJ。 (E) 904 kJ。
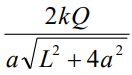
40. 14N3– 離子具有:(A) 7 個質子、7 個中子、4 個電子。 (B) 7 個質子,7 個中子,3 個電子。(C) 7 個質子、14 個中子、7 個電子。 (D) 7 個質子、7 個中子、10 個電子。(E) 7 個質子、7 個中子、7 個電子。
41. 電荷 Q 均勻分布於長度為 L 的細絕緣棒,則在該細絕緣棒的垂直平分線上,與該棒相距a 處的電場強度為何?(A)(B)(C)(D)(E)
42. 一輛質量為 1000 kg 的汽車在水平道路上以 90 km/h 勻速行駛時需 10 hp 的功率。已知1 hp = 746 W,重力場強度為 9.8 N/kg,假設由路面和空氣阻力所產生的總摩擦力不變,則該車以相同速率在 30°的斜坡往上行駛時大約需要多大的功率?(A) 10 hp (B) 51 hp (C) 92 hp (D) 136 hp (E) 174 hp
43. 將一水平彈簧的左端固定,一木塊連接至彈簧的右端,並置於無摩擦的水平桌面上。木塊的質量為 1 kg,彈簧的彈性常數為 4 N/m。當時間為 π/2 秒時,彈簧壓縮 50 cm 且方塊的速度為往左 1 m/s,則方塊第一次達到其速度極大值的 50%的時間為何?(A) 0.13 s (B) 0.30 s (C) 0.47 s (D) 0.64 s (E) 0.81 s
44. 某人眼睛的明視近點位於 80 cm 處,若欲將其調整為 25 cm,則所需的凸透鏡的焦距大約為何?(A) 30.2 cm (B) 33.3 cm (C) 36.4 cm (D) 39.5 cm (E) 42.6 cm
45. 將 A 球以 5.0 m/s 的速率從屋頂向下拋。兩秒鐘之後,將 B 球以 10.0 m/s 的速率從地面向上拋。若兩球相撞時,B 球的速度為 9.6 m/s 向下,取重力加速度為 9.8 m/s2,則屋頂的高度為何?(A) 68.8 m (B) 78.8 m (C) 88.8 m (D) 98.8 m (E) 108.8 m
46. 若定容莫耳比熱為 20.9 J/mol·K,則一莫耳理想氣體在絕熱下從 10 ℃變為 20 ℃的過程當 中所作的功為何? (A) 209 J (B) 20.9 J (C) 0 (D) –20.9 J (E) –209 J
47. 一質量為 7 kg 的自行車在半徑為 5 m 的圓形自行車道上行進。該車道的外側較高而使路 面與水平面成 45°傾斜。若輪胎與地面的摩擦係數為 0.6、重力場強度為 9.8 N/kg,則使該 自行車保持不側滑的最大速率為何? (A) 8 m/s (B) 10 m/s (C) 12 m/s (D) 14 m/s (E) 16 m/s
48. 兩個質量分別為 m1 = 2 kg 與 m2 = 1 kg 的木塊以繩子連接,並將繩子繞過一個半徑 R = 0.1 m、質量 M = 4 kg 的滑輪,如圖所示。假設滑輪的轉動慣量為MR2 ,質量為 m2 的木塊和滑輪間的繩子為水平且與木塊的質心同高。忽略摩擦力及繩子質量,取重力場強度為 9.8 N/kg,則兩木塊共有的線性加速度為何?(A) 1.92 m/s2 (B) 2.92 m/s2 (C) 3.92 m/s2 (D) 4.92 m/s2(E) 5.92 m/s2
49. 一個高度為 1.2 cm 的物體置於一曲率半徑為 3 cm 的凸面鏡前 1 cm 處,則其像的高度為何? (A) 0.36 cm (B) 0.72 cm (C) 1.08 cm (D) 1.44 cm (E) 1.8 cm
50. 一個揚聲器發出 0.8 W 的聲功率。假設它作為點波源將能量往各方向均勻發射。取聽覺底限值為 10–12 W/m2,則距離多遠的地方所感受到的強度級約為 90 dB? (A) 4 m (B) 8 m (C) 12 m (D) 16 m (E) 20 m