所屬科目:土壤力學
(一)在最佳含水量下的飽和度和孔隙比。
(二)在此條件下,空氣占據該試體孔隙的百分比。
(三)對應於最佳含水量,零空氣孔隙曲線(zero-air-void curve)上的乾密度。
(四)請說明可能影響夯實結果的三個主要因素。
二、震測法(Seismic Survey)是地球物理探測中常被應用的一種方法。請詳細說明震測折射法(Seismic Refraction Survey)與震測反射法(SeismicReflection Survey),兩種方法的基本原理、主要探測結果與應用,並比較兩者之間的差異性。(25 分)
(一)試求上述每個壓力增量的壓縮指數Cc和體積壓縮係數為多少?(9 分)
(二)該試樣取自一厚度為 4 m 的飽和黏土層,黏土層下方為不透水岩盤,上方為砂層。該黏土層之平均垂直有效應力為 75 kPa。現於地表面施加均佈載重 75 kPa。試計算該黏土層於均佈載重作用下的沉陷量為何?
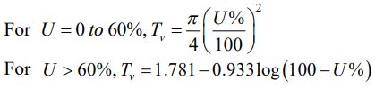
(三)於 100 到 200 kPa 壓密應力增量的階段中,90%的主要壓密於一小時內完成,試求該 4 m 厚的黏土層達壓密度 50%所需要的時間。
(四)實務中,某些工程師較傾向使用值而不是Cc值來計算沉陷量。請說明以值計算沉陷量的三個主要的好處。(6 分)提示(若條件不足請自行做合理假設):
(一)試以庫倫(Coulomb,1776)的主動土壓力理論,計算此擋土牆於非地震情況下之牆重。(6 分)
(二)試以 Mononobe–Okabe 的動態土壓力理論,計算此擋土牆於地震載重,且不允許牆移動之情況下的牆重。(7 分)
(三)試以 Richards & Elms(1979)的方法,計算此擋土牆於地震載重,且允許牆移動 d = 20 mm 之情況下的牆重。(8 分)
(四)請列出 Mononobe–Okabe 動態土壓力理論是基於何種假設而導出的。(4 分)