題組內容
四、下圖所示為一高 H = 4.5 m、垂直牆背 ( β=0) 之重力式擋土牆,其水平背填(i=0)土壤為砂質土壤,土壤單位重γ=18 kN/m3,土壤摩擦角
ϕ=35°,背填土與牆界面之摩擦角
,牆底土壤與牆之摩擦角
。設垂直與水平方向加速度係數分別為 kv = 0、
= 0.2,有效加速
度係數 Av = Aa = 0.2 ,安全係數為 1.5。
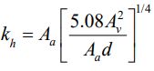
提示:相關的主動土壓力係數及 CIE 值可參考下列所附曲線或自行計算;Richards & Elms(1979)建議之極限(cut-off)
。(若條件不足請自行做合理假設)

(一)試以庫倫(Coulomb,1776)的主動土壓力理論,計算此擋土牆於非地震情況下之牆重。(6 分)