所屬科目:教甄◆數學
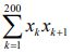
1.設數列滿足x1=1,且對任意正整數n, =0均成立。試求之值為______。
3.已知△ABC 中,= 4 、= 3。在△ABC 內部有一點 P 滿足,且= 0,則∠C的餘弦值為_______。
4.已知函數f(x)=在 x=1, 3時有極值,且f(0)=,求實數序對(a, b, c)= ___________。
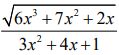
5.已知 x ∈ [0,3],求的最大值為_____
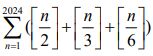
6.若[x]表示不超過x的最大整數,求=________
7.已知非零向量和互相垂直,若的夾角為θ ,則cosθ的最小值為________
8.有三個半徑分別為 2、3、4 的圓,且這三個圓兩兩外切,切點分別為 A、B、C,則△ABC 的面積為_________。
9.試求方程式sinx-cosx=的所有實根之和為____________。
10.在直角坐標系中,已知點 A(9,11),點 P 為圓C:(x-5)2+(y-3)2=4上一點,點 Q 為直線 x+y=0上一點,則的最小值為____________。
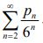
二、計算證明題:1.設n為正整數,且n≥2 ,又多項式f(x)=被x2-5x+6除之,得餘式為 ,則之值為何?
2. 已知△ABC 的三邊長滿足,則sinC的最大值為何?
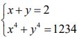
3. 已知 x、 y 為實數,且滿足,試求 xy 之值。
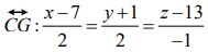
4.下圖為平行六面體 ABCD-EFGH,已知。若不在上述三條直線上的點(9,7,8)是此平行六面體之其中一頂點, 則此平行六面體的體積為何?
5.已知△ABC 滿足sinA=cosB=,且=1,試求△ABC的面積。