所屬科目:技檢◆測量-地籍測量-甲級
1. GPS 衛星定位測量中 L1 觀測量調制了下列何種電碼? (A)C/A 碼及 P 碼 (B)P 碼 (C)Y 碼 (D)C/A碼。
2. 圖解地區之地籍原圖,圖上宗地之界址以黑色二號線描繪,該二號線之寬度為 (A)0.1 毫米 (B)0.05 毫米 (C)0.3 毫米 (D)0.2 毫米。
3. 依勞動基準法規定,下列何者屬不定期契約? (A)有繼續性的工作 (B)季節性的工作 (C)臨時性或 短期性的工作 (D)特定性的工作。
4. 土地所有權人或管理人申請土地鑑界複丈,地政事務所完成複丈後,應繪製何種圖說發給申請 人? (A)土地複丈成果圖 (B)地段圖 (C)地籍圖 (D)參考圖。
5. 溫室氣體易造成全球氣候變遷的影響,下列何者不屬於溫室氣體? (A)甲烷(CH4) (B)二氧化碳 (CO2) (C)氫氟碳化物(HFCs) (D)氧氣(O2)。
6. 按菸害防制法規定,下列敘述何者錯誤? (A)任何人都可以出面勸阻在禁菸場所抽菸的人 (B)餐 廳、旅館設置室內吸菸室,需經專業技師簽證核可 (C)只有老闆、店員才可以出面勸阻在禁菸場 所抽菸的人 (D)加油站屬易燃易爆場所,任何人都可以勸阻在禁菸場所抽菸的人。
7. 任職大發公司的郝聰明,專門從事技術研發,有關研發技術的專利申請權及專利權歸屬,下列 敘述何者錯誤? (A)大發公司與郝聰明之雇傭契約約定,郝聰明非職務上的發明,全部屬於公 司,約定有效 (B)職務上所完成的發明,除契約另有約定外,專利申請權及專利權屬於大發公司 (C)郝聰明完成非職務上的發明,應即以書面通知大發公司 (D)職務上所完成的發明,雖然專利申 請權及專利權屬於大發公司,但是郝聰明享有姓名表示權。
8. 一千分之一之地籍圖,圖上宗地面積為 2cm2,實地面積約若干? (A)120 坪 (B)30 坪 (C)90 坪 (D)60 坪。
9. GPS 衛星定位系統之 C/A 碼的週期為若干? (A)0.001 秒 (B)0.01 秒 (C)0.0001 秒 (D)0.00001 秒。
10. 「1967 大地參考坐標系統」中之地球扁平率 f 之概值約為若干? (A)1:299.20 (B)1:298.25 (C)1:312.22 (D)1:297.0。
11. 已知三角形 A、B、C 三個頂點,分別觀測∠A 與∠B 之水平角,假設其觀測之標準誤差均為10",今以計算方式求∠C 之值,則∠C 之標準誤差約為 (A)6" (B)14" (C)11" (D)17"。
12. 都市計畫定樁放樣樁位置圖,圖例為沿分區使用界限內邊緣上塗以棕色,表示 (A)商業區 (B)住宅 區 (C)機關用地 (D)市場。
13. 都市計畫核定發布實施後,應行測釘都市計畫樁之期限為 (A)二年內 (B)一年內 (C)半年內 (D)三個月內。
14. 有關電冰箱放置位置的處理方式,下列何者是正確的? (A)背後距離牆壁應有 10 公分以上空間, 以利散熱 (B)室內空間有限,側面緊貼牆壁就可以了 (C)背後緊貼牆壁節省空間 (D)冰箱最好貼近 流理台,以便存取食材。
15. 地球弧面差大小與距離關係如何? (A)與距離平方成反比 (B)與距離成正比 (C)與距離平方成正比 (D)與距離成反比。
16. GPS 衛星運行的周期約為每多少小時繞地球一圈? (A)6 (B)12 (C)24 (D)8。
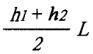
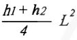
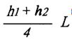
17. 不平行四邊形之宗地,從對角線分為二個三角形,三角形之共同底邊為 L,兩高為 h1、h2(如下 圖)。則其面積計算式為何?
(A)(B) (C) (D) 。
18. 下列何項為子午線收歛角的定義? (A)經過二點之子午線在北極之交角 (B)真北與磁北之夾角 (C) 真北與坐標北之夾角 (D)磁北與坐標北之夾角。
19. 公示送達,自將公告或通知書黏貼牌示處之日起,其登載公報或新聞紙者,自最後登載之日 起,經若干期間發生效力? (A)二十日 (B)七日 (C)三日 (D)十五日。
20. 下列何項措施不能提高測角之精度? (A)增加角度之測回數 (B)採用較精密之經緯儀 (C)縮短邊長 (D)精確定心定平。
21. 地籍測量之第二次序為何? (A)三角測量 (B)圖根測量 (C)地籍調查 (D)都市計畫樁清理補建。
22. 地籍圖重測之地籍原圖,圖上表示縣市界之符號為何? (A)-+-+- (B)-‧-‧- (C)-‥ -‥- (D)‥‥。
23. 以圖解法進行土地分割,分割後各宗土地面積加總,不等於分割前面積,應如何配賦改正? (A) 依面積大小比例配賦改正 (B)依土地所有權人之意思配賦改正 (C)由最大面積之宗地吸收 (D)依宗 數平均配賦改正。
24. 會社名義登記之土地,地籍調查前應查明該會社之何人或股東住址據以通知? (A)所有權人 (B)管 理人 (C)起造人 (D)抵押權人。
25. 於市街地一 36m 邊長之界址實施圖解法戶地測量,若採用之比例尺為 1/500,則其測繪誤差不得 超過多少? (A)20cm (B)10cm (C)30cm (D)12cm。
26. 製造非持續性但卻妨害安寧之聲音者,由下列何單位依法進行處理? (A)環保局 (B)警察局 (C)消 防局 (D)社會局。
27. 下列何項登記非屬標示變更登記? (A)建物門牌號變更 (B)住址變更 (C)地籍圖重測確定 (D)土地重 劃。
28. 一般桶裝瓦斯(液化石油氣)主要成分為丁烷與下列何種成分所組成? (A)乙烷 (B)甲烷 (C)辛烷 (D) 丙烷。
29. 邊長 25m 之正方形土地,設量距之標準誤差為 1cm,則所測面積之相對精度為若干? (A)1/2500 (B)1/1250 (C)1/5000 (D)1/500。
30. 距離為 100 公尺時,量距誤差為 0.01 公尺,為使量距測角精度相當,則測角之精度應約為若 干? (A)20 秒 (B)10 秒 (C)40 秒 (D)30 秒。
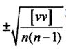
31. 一水準測量,分別由 A,B 及不同之水準點引測至連接點 E,假設第一條水準路線測站數 9,得 E 點高程 320.48m,第二條水準路線測站數 12,得 E 點高程 320.32m,第三條水準路線測站數4,得 E 點高程 320.89m,則 E 點高程為何? (A)320.68m (B)320.76m (C)320.86m (D)320.56m。
32. 下列何計算成果為觀測值之標準誤差([]表總和)? (A) (B) (C) (D) 。
33. 依大地測量之觀點,地表兩點間之最短距離為何? (A)大地線 (B)直截線 (C)圓弧 (D)直線。
34. 廠商某甲承攬公共工程,工程進行期間,甲與其工程人員經常招待該公共工程委辦機關之監工 及驗收之公務員喝花酒或招待出國旅遊,下列敘述何者正確? (A)只要工程沒有問題,某甲與監 工及驗收等相關公務員就沒有犯罪 (B)因為不是送錢,所以都沒有犯罪 (C)公務員若沒有收現金, 就沒有罪 (D)某甲與相關公務員均已涉嫌觸犯貪污治罪條例。
35. 圖解法土地複丈,採前方交會法或側方交會法,三條觀測方向線之示誤三角形,其內切圓直徑 不得超過多少? (A)0.1mm (B)0.3mm (C)0.2mm (D)0.4mm。
36. GPS 衛星定位測量其太空部份 GPS 衛星分布於幾個軌道面? (A)12 (B)3 (C)8 (D)6。
37. 勞工在何種情況下,雇主得不經預告終止勞動契約? (A)確定被法院判刑 6 個月以內並諭知緩刑 超過 1 年以上者 (B)不服指揮對雇主暴力相向者 (C)非連續曠工但 1 個月內累計達 3 日以上者 (D) 經常遲到早退者。
38. 都市計畫道路中心樁之實地定位,以採用相交道路中心樁之交會點定位時,如不同方向之交會 點在兩點以上,彼此之距離應在多少範圍內? (A)20 公分 (B)10 公分 (C)5 公分 (D)30 公分。
39. 界址點測量使用最多之方法為何? (A)導線法 (B)光線法 (C)交會法 (D)支距法。
40. 我國移動污染源空氣污染防制費的徵收機制為何? (A)依牌照徵收 (B)依照排氣量徵收 (C)依車輛 里程數計費 (D)隨油品銷售徵收。
41. 下列何者是酸雨對環境的影響? (A)增加水生動物種類 (B)湖泊水質酸化 (C)土壤肥沃 (D)增加森林生長速度。
42. 直轄市、縣(市)地籍圖重測界址爭議協調會,下列何者為委員之任期? (A)三個月 (B)二年 (C)六個 月 (D)一年。
43. 以坐標反算方位角時,橫距(△X)為負值,縱距(△Y)為正值時,其方位角等於下列何者? (A)180°+方向角 (B)方向角 (C)180°-方向角 (D)360°-方向角。
44. 一導線邊,其邊長為 80 公尺,水平角誤差為 20 秒,其最大偏差量為何? (A)0.012 公尺 (B)0.024 公尺 (C)0.016 公尺 (D)0.008 公尺。
45. 三角測量中,某一三角形∠A=45°,∠B=30°,∠C=105°,若∠A 之對邊 a=2,000m,則∠B 之對 邊 b 為若干? (A)1,414m (B)1,834m (C)1,628m (D)1,705m。
46. 台灣地區 2°分帶橫梅氏投影坐標系統,其中央經線之橫坐標設定西移多少公尺? (A)二十五萬公 尺 (B)三十五萬公尺 (C)五十萬公尺 (D)十萬公尺。
47. 依職業安全衛生管理辦法規定,下列何者非屬「自動檢查」之內容? (A)機械之定期檢查 (B)機 械、設備之作業檢點 (C)勞工健康檢查 (D)機械、設備之重點檢查。
48. 事業單位如不服勞動檢查結果,可於檢查結果通知書送達之次日起 10 日內,以書面敘明理由向 勞動檢查機構提出? (A)抗議 (B)異議 (C)陳情 (D)訴願。
49. 一 50m 長之鋼卷尺與標準尺比較,其實長為 50.008m,今以該尺量得一段距離為 128.54m,則 此段距離之實長為何? (A)128.55m (B)128.56m (C)128.53m (D)128.52m。
50. 距測站 50m 之覘標偏離點位 0.5cm,則影響於測角之最大誤差為何? (A)20" (B)30" (C)40" (D)10"。
51. 測角與量距之精度要互相匹配,如測角之精度為 20",則量距之精度應為何? (A)1/10,000 (B)1/3,000 (C)1/7,500 (D)1/5,000。
52. 地籍圖重測期間,土地所有權人因界址發生爭議時,依法應如何處理? (A)辦理異議複丈 (B)由地 政機關依法調處 (C)由地政機關逕行施測 (D)訴請法務部審理。
53. 下列何者「不是」全球暖化帶來的影響? (A)洪水 (B)旱災 (C)地震 (D)熱浪。
54. 何項土地複丈,不涉及原標示之變更? (A)土地流失勘測 (B)土地分割複丈 (C)土地鑑界複丈 (D)土 地合併複丈。
55. 市地圖解法複丈,地籍圖之邊長與實測之差,不得超過多少公分(註:S 係邊長,以公尺為單 位;M 為地籍圖比例尺之分母)? (A)5+1 √S+0.02M (B)6+1 √S+0.02M (C)4+1√S +0.02M (D)7+1 √S+0.02M。
56. 依法得分割之共有土地,共有人不能自行協議分割者,任何共有人得依土地法第三十四條之一 規定,向土地所在地之何機關聲請調處? (A)直轄市、縣(市)政府 (B)地政事務所 (C)鄉、鎮、 (市)區公所 (D)法院。
57. 下列何者不是噪音的危害所造成的現象? (A)工作效率低落 (B)煩躁、失眠 (C)緊張、焦慮 (D)精神 很集中。
58. 三角系設置三角點之補點時,補點應與其他幾個以上三角點之方向相互通視? (A)四點 (B)三點 (C)二點 (D)五點。
59. 基線測量時電子測距之頻率偏差改正,相當於以銦鋼基線尺施測之何項改正? (A)重力改正 (B)下 垂改正 (C)尺長不標準之改正 (D)張力改正。
60. 某甲於公司擔任業務經理時,未依規定經董事會同意,私自與自己親友之公司訂定生意合約, 會觸犯下列何種罪刑? (A)詐欺罪 (B)貪污罪 (C)背信罪 (D)侵占罪。
61. 有關地面上某一點之大地起伏,下列敘述哪些正確? (A)大地起伏為橢球高與正高之差 (B)大地起 伏為橢球高與正高之乘積 (C)大地起伏為橢球高與正高之和 (D)若已知某點之橢球高與大地起伏, 則可以計算該點的正高。
62. 戶地測量之宗地測量完竣,後續應如何處理? (A)應編列永久地號 (B)應編列暫編地號 (C)記載於 地籍調查表內 (D)記載於觀測手簿內。
63. 依「基本測量實施規則」規定,下列哪些測量方法可用以實施加密控制測量? (A)衛星定位測量 (B)水準測量 (C)三邊測量 (D)三角測量。
64. 下列哪些屬都市計畫樁? (A)界樁 (B)交點樁 (C)中心樁 (D)副樁。
65. 依「地籍測量實施規則」規定,地籍原圖互相接合時,下列敘述哪些正確? (A)圖上之差,不受 圖紙伸縮之影響 (B)圖上之差在 0.3 毫米時,應實地檢查並更正之 (C)圖上之差在 0.4 毫米以上 者,應實地檢查並更正之 (D)圖上之差,受圖紙伸縮之影響。
66. 複丈應以圖根點或界址點作為依據,並應先檢測圖根點及界址點,所測得點位間之距離與由坐 標反算之距離,其差不得超過下列限制? (A)山地:0.020 公尺 √S+0.08 公尺 (B)山地:0.020 公尺 √S+0.10 公尺 (C)農地:0.010 公尺√S +0.05 公尺 (D)市地:0.005 公尺√S+0.04 公尺。
67. GPS 相對定位測量中,若採用二次差(兩測站同時觀測兩顆 GPS 衛星)資料處理,則可消除或削 弱下列哪些誤差? (A)消除接收機時錶誤差 (B)消除衛星時錶誤差 (C)消除週波未定值 (D)削弱對流 層誤差。
68. 採圖解法土地複丈時,應以下列哪些點作為依據? (A)水準點 (B)界址點 (C)現況點 (D)圖根點。
69. 地上權、農育權、不動產役權或典權之平面位置如何測繪? (A)他項權利位置圖,用黑色實線繪 製他項權利位置界線,並用紅色實線繪明土地經界線 (B)一宗土地同時申請設定二以上同一性質 之他項權利者,應在同一幅土地複丈圖內分別測繪他項權利位置 (C)測量完畢,登記機關應依土 地複丈圖謄繪他項權利位置圖二份,分別發給他項權利人及土地所有權人 (D)同一他項權利人在 數宗土地之一部分設定同一性質之他項權利者,應儘量測繪在同一幅土地複丈圖內。
70. GPS 相對定位測量中,若採用三次差(兩曆元、兩測站同時觀測兩顆 GPS 衛星)資料處理,則可 消除或削弱下列哪些誤差? (A)削弱多路徑誤差 (B)消除衛星時錶誤差 (C)消除週波未定值 (D)消除 接收機時錶誤差。
71. A、B 為直線上兩端點,其坐標為:XA=176929.217m,YA=2499206.656m;XB=177117.216m, YB=2497650.557m,今以直線截點法量得各界址點間之長分別為 AC=500m、CD=500m、 CB=567.414m,則 XC、YC、XD、YD 之坐標為: (A)XD =177049.161m (B)YC =2488710.266m (C)YD =2498213.875m (D)XC =176989.189m。
72. 地籍公告圖下列敘述哪些正確? (A)三角點以黑色實線繪邊長 1 毫米之正三角形,並於其中心繪 一黑點 (B)圖廓線、圖廓坐標、地目、地號等均以黑色展繪之 (C)使用透明膠片,圖幅為 60 公分 x80 公分 (D)比例尺與地籍原圖比例尺相同。
73. 已知 XA=23m、YA=21m,XB=32m、YB=141m,設站於 A,以 B 為原方向,測得 P 點之水平角 為 27°36'32",AP 距離為 19.861m,則 XP=?、YP=? (A)YP=38.599 m (B)YP =37.862m (C)XP=32.204m (D)XP=33.495 m。
74. 航空攝影後應繪製涵蓋圖,具下列哪些情形之一者,應重行攝影或補攝? (A)航線偏差超過 12% (B)重疊不足,像對不能涵蓋全測區 (C)航高過高或過低,致底片比例尺與規定相差 15%以上 (D)航 傾角或航偏角大於 5 度以上。
75. 都市計畫樁之編號原則為 (A)環狀為反時鐘方向 (B)縱向自下而上 (C)環狀為順時鐘方向 (D)縱向自 上而下。
76. 有關系統誤差,下列敘述哪些正確? (A)在相同的觀測條件下,系統誤差為常數,正者恆正,負 者恆負 (B)在平差計算階段,應先消除或降低系統誤差 (C)在平差計算前,可利用數學模式消除或 降低系統誤差 (D)在測量階段,採取一定作業方式,可消除或降低系統誤差。
77. 依國土測繪法規定,下列哪些屬於測量基準? (A)大地基準 (B)深度基準 (C)高程基準 (D)重力系 統。
78. 依「地籍測量實施規則」之規定辦理數值法土地複丈時,得視實地情況採用下列哪些方法施 測? (A)直線截點法 (B)自由測站法 (C)導線法 (D)光線法。
79. 圓周長 ,圓面積 , ,下列哪些正確? (A)面積精度±0.274m2 (B)面積精度±2.74m2 (C)A=23.888m2 (D)A=238.88m2。
80. 依據二個已知點的平面坐標值,無法計算求得此兩點間的 (A)垂直距離 (B)水平距離 (C)圓弧長度 (D)傾斜距離。