阿摩線上測驗
登入
首頁
>
技檢◆視聽電子-丙級
> 114年 - 02900 視聽電子 丙級 工作項目 05:音響檢修 51-100(2025/10/16 更新)#132310
114年 - 02900 視聽電子 丙級 工作項目 05:音響檢修 51-100(2025/10/16 更新)#132310
科目:
技檢◆視聽電子-丙級 |
年份:
114年 |
選擇題數:
50 |
申論題數:
0
試卷資訊
所屬科目:
技檢◆視聽電子-丙級
選擇題 (50)
51. 兩電容器之電容量與耐壓分別為 10μF/100V 與 20μF/200V,串聯後總耐壓為 (A)150V (B)100V (C)200V (D)300V 。
52. 有一共集極放大器的負載電阻為 1KΩ,電晶體的β增益(或 hfe)值為100,試估計放大器的輸入阻抗值大約為 (A)10Ω (B)1KΩ (C)100KΩ (D)1MΩ 。
53. 增強型 MOS FET(EMOSFET)之洩極與源極 (A)相通 (B)不通 (C)視通道種類而定 (D)視材質種類而定 。
54. 在共射極放大器中,通常集極電流隨著基極電流的增加而 (A)穩定的增加(B)先穩定增加,然後趨於飽和 (C)先增加再降下 (D)無關連 。
55. 如下圖假設電晶體為矽晶體其β=100,V
CE
之電壓為
(A)10V (B)1V (C)0.8V(D)接近 0V 。
56. 溫度變化時,穩定度最佳的偏壓方法是 (A)固定偏壓 (B)基極分壓射極自偏壓 (C)漏電偏壓 (D)射極接地偏壓 。
57. 放大器之輸出阻抗將因負回授而 (A)必然增大 (B)必然減小 (C)不受回授影響(D)視回授方式而定 。
58. 某一電台,其電波波長為 60 公尺,則其電波頻率約為 (A)300KHz (B)500KHz (C)3000KHz (D)5000KHz 。
59. 電感電阻串聯電路,其時間常數為 (A)RL (B)1/RL (C)L/R (D)R/L 。
60. 如下圖 R
E
的功用是
(A)反交連 (B)交流負回授 (C)穩定直流工作特性 (D)減小輸入阻抗 。
61. 一系統總增益之分貝(dB)數為各級增益分貝(dB)值之 (A)積 (B)和 (C)平均值(D)平方和 。
62. 如下圖中 Q
1
與 Q
3
構成何種連接
(A)CE 連接 (B)BC 連接 (C)限流裝置 (D)達靈頓連接 。
63. 電容量為 C 法拉之電容器,若有 Q 庫侖電荷,則所儲蓄之能量(焦耳)為 (A)1/2CQ
2
(B)1/2‧CQ (C)1/2‧Q/C (D)1/2‧Q
2
/C 。
64. 輸出阻抗最高的電路組態是 (A)共射極 (B)共集極 (C)共源極 (D)共基極 。
65. 當電容器瞬間充電時,其兩端的電壓為 (A)立即改變 (B)不會立即改變 (C)恆為外加電壓的 0.368 倍 (D)即刻增為一半之外加電壓值 。
66. 達靈頓連接之優點下列何者為正確? (A)由射極可獲得低輸出阻抗 (B)由射極可得高輸出阻抗 (C)由基極可得低輸出阻抗 (D)電壓增益極高 。
67. 倒相電路的種類大致上有三種,下列何者為誤? (A)C-E 倒相 (B)變壓器倒相 (C)矩陣串聯倒相 (D)C-C 倒相 。
68. 振盪電路使用的電容器規格最好是 (A)有正溫度係數的電容 (B)有負溫度係數的電容 (C)零溫度係數的電容 (D)正負不定的溫度係數電容 。
69. 下圖此種失真情況稱為
(A)交越失真 (B)相位失真 (C)中頻失真 (D)高頻失真 。
70. 下圖為一個
(A)二進位計數器 (B)D 正反器 (C)J-K 正反器 (D)T 正反器 。
71. 若某一 R.L.C 串聯諧振電路之自然諧振頻率為 1.1MHz,而外加 1MHz 信號源電壓,則此電路呈 (A)電阻性 (B)電感性 (C)電容性 (D)壓電效應 。
72. 若下圖電路之 RC 時間常數為 40ms,則電容量應為
(A)3μF (B)4μF (C)5μF(D)8μF 。
73. 求下圖電路之輸出電壓為若干?
(A)正電壓 (B)零電位 (C)無限大 (D)負電位 。
74. 若示波器測得之某調幅波如下圖所示,其調變百分率為
(A)40% (B)50% (C)60% (D)80% 。
75. UJT 之觸發電壓(Vp)隨電源電壓(V
BB
)之上昇而 (A)增加 (B)下降 (C)不變 (D)不一定 。
76. 求下圖電路中 Rz 為若干
(A)50Ω (B)100Ω (C)200Ω (D)300Ω 。
77. 如下圖所示,若 V
CE
=10V,則 R
L
應為
(A)20K (B)17K (C)7K (D)3K Ω。
78. 若一交流電壓,加於一電阻與電容並聯之阻抗兩端,則流入阻抗之電流相位較電壓為 (A)落後 (B)領前 (C)相同 (D)視頻率而定 。
79. 如下圖所示,電流I為若干?
(A)4A (B)0.3A (C)0.2A (D)0A 。
80. 若某放大器的輸出電流隨輸入電壓成正比例變化者稱為 (A)電壓 (B)電流 (C)互導 (D)互阻 放大器。
81. 若一電阻之色碼為"橙白黑橙棕"則此電阻之阻值應為 (A)3.9kΩ (B)39kΩ (C)390kΩ (D)3.9MΩ 。
82. 鉭質電容器之兩極導線,較短之一端為 (A)正極 (B)負極 (C)不一定 (D)依廠商之設計 。
83. 台灣電力公司之 110V 電壓為 (A)有效值 (B)平均值 (C)最大值 (D)峰對峰值 。
84. 若 10Ω電阻器與容抗 20Ω電容器及感抗 30Ω電感器串聯,則其電路總阻抗為 (A)10Ω (B)10
Ω (C)20Ω (D)60Ω 。
85. 半波整流電路之輸出直流電壓為 (A)Vm/π (B)2Vm/π (C)πVm/2 (D)Vm 。
86. 若並聯諧振電路其諧振頻率為 100MHz,Q 值為 200,則其頻帶寬為若干? (A)10MHz (B)1MHz (C)500KHz (D)200KHz 。
87. 瓦特是 (A)能量 (B)功率 (C)阻抗 (D)互導 之物理量單位名稱。
88. 若一 10μF 之電容器與 100KΩ之電阻器串聯以 1μA 之定電流充電 10秒,則其時間常數為 (A)0.1 秒 (B)1 秒 (C)10 秒 (D)100 秒 。
89. 高頻放大電路中和電容器的作用 (A)提高增益 (B)防止寄生振盪 (C)產生諧振(D)減小通頻寬度 。
90. 樞密特觸發電路能轉換何種波形為方波? (A)正弦波 (B)三角波 (C)鋸齒波 (D)任何週期性 。
91. NFB 型音質控制電路所使用之可變電阻器宜採用 (A)A 型(對數型) (B)B 型(直線型) (C)C 型 (D)D 型 。
92. 一般動圈式(MC)唱頭輸出電壓約為 (A)3mV 左右 (B)20μV 左右 (C)0.1V~1V (D)150mV~250mV 。
93. 以變壓器交連的A類功率放大器之效率最高可達到 (A)25% (B)50% (C)60%(D)78.5% 。
94. OTL 電路調整互補推動級的順向偏壓是在調整 (A)靜態電流及交叉失真 (B)中點電壓 (C)高音音質 (D)低音音質 。
95. 推挽放大器的靜態電流,若太小將會引起交叉失真,所以 SEPP 電路均採用 (A)A 類放大 (B)B 類放大 (C)AB 類放大 (D)C 類放大 。
96. 與 LC 型濾波器比較,下列那項特性不屬於陶瓷濾波器的特性? (A)插入損失較小 (B)形狀及尺寸較小 (C)無調整部份,可大量生產 (D)靈敏度高 。
97. 擴大機中輸出音量在-20db~0db 的為何種接頭? (A)MIC (B)AUX (C)DIN (D)REMOTE 。
98. 調頻的頻率偏移與信號波幅成 (A)正比 (B)反比 (C)無關 (D)倒相 。
99. 波長λ頻率 f 及光速 C 三者間之正確關係為 (A)C=f‧λ (B)C=f/λ (C)λ=f‧C (D)C=λ/f 。
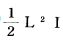
100. 儲存於電感中之磁場能量為 (A)
(B)
(C)
(D)
。
申論題 (0)
相關試卷
114年 - 02900 視聽電子 丙級 工作項目 06:收錄音機檢修 51-93(2025/10/16 更新)#132319
114年 · #132319
114年 - 02900 視聽電子 丙級 工作項目 06:收錄音機檢修 1-50(2025/10/16 更新)#132318
114年 · #132318
114年 - 02900 視聽電子 丙級 工作項目 05:音響檢修 401-443(2025/10/16 更新)#132317
114年 · #132317
114年 - 02900 視聽電子 丙級 工作項目 05:音響檢修 351-400(2025/10/16 更新)#132316
114年 · #132316
114年 - 02900 視聽電子 丙級 工作項目 05:音響檢修 301-350(2025/10/16 更新)#132315
114年 · #132315
114年 - 02900 視聽電子 丙級 工作項目 05:音響檢修 251-300(2025/10/16 更新)#132314
114年 · #132314
114年 - 02900 視聽電子 丙級 工作項目 05:音響檢修 201-250(2025/10/16 更新)#132313
114年 · #132313
114年 - 02900 視聽電子 丙級 工作項目 05:音響檢修 151-200(2025/10/16 更新)#132312
114年 · #132312
114年 - 02900 視聽電子 丙級 工作項目 05:音響檢修 101-150(2025/10/16 更新)#132311
114年 · #132311
114年 - 02900 視聽電子 丙級 工作項目 05:音響檢修 1-50(2025/10/16 更新)#132309
114年 · #132309