阿摩線上測驗
登入
首頁
>
技檢◆視聽電子-乙級
> 114年 - 02900 視聽電子 乙級 工作項目 04:電子學 51-100(2025/10/16 更新)#132294
114年 - 02900 視聽電子 乙級 工作項目 04:電子學 51-100(2025/10/16 更新)#132294
科目:
技檢◆視聽電子-乙級 |
年份:
114年 |
選擇題數:
50 |
申論題數:
0
試卷資訊
所屬科目:
技檢◆視聽電子-乙級
選擇題 (50)
51. RLC 並聯電路之頻率選擇性以 Q 值表示,欲提高 Q 值應 (A)減少 C (B)增大 L (C)增大 R (D)減少 R 。
52. 那一類放大器於音量小時易發生交越(Crossover)失真 (A)A 類 (B)B 類 (C)AB 類 (D)C 類 。
53. 二極體加逆向偏壓時,空乏區厚度 (A)不變 (B)變大 (C)變小 (D)不一定 。
54. 在共陰極七段顯示器中若欲顯示 3,則除需將其共用點接到低電位,其輸入端 abcdefg 需分別加入 (A)0000110 (B)1111001 (C)0010010 (D)1101101 。
55. 在交流電感電路中電壓比電流超前 (A)0° (B)60° (C)90° (D)180° 。
56. 接收機之調諧電路,其調諧曲線越尖銳,則 (A)傳真度越高 (B)選擇性越佳(C)S/N 比較低 (D)頻帶寬度越大 。
57. 電流流經電阻所產生的熱量可由 H=0.24Pt 公式求得,則在此 H(熱量)的單位為 (A)卡 (B)BTU (C)瓦特 (D)焦耳 。
58. 理想的 RLC 電路中,僅有 (A)電感器 (B)電阻器 (C)電容器 (D)電感器及電容器 消耗功率。
59. 小功率 SCR 導通後 A-K 兩端點間之電壓約為 (A)0.6V~2V (B)12V~24V(C)4V~5V (D)10V~20V 。
60. 交連電容器可以用來隔離 (A)交流電 (B)直流電 (C)電波 (D)脈波 。
61. 兩電容器之電容量與耐壓分別為 2μF/50V 與 2μF/100V,串聯後總耐壓為 (A)300V (B)200V (C)150V (D)100V 。
62. 若電晶體的β值是 99 ,則其基極之順向電流轉換率α= (A)0.01 (B)9.9(C)1.0 (D)0.99 。
63. 電晶體之 hoe 愈小,代表其共射極放大電路之輸出阻抗 (A)愈小 (B)愈大(C)不一定 (D)與輸出阻抗無關 。
64. 如下圖電流表之指示值應為
(A)3A (B)無法計算 (C)2A (D)2.4A 。
65. 如下圖邏輯電路其等效之 LOGIC GATE 為
(A)OR GATE (B)AND GATE(C)NOR GATE (D)NAND GATE 。
66. 當 4mH 抗流圈及 1000uF 電容與 20Ω電阻並聯,則諧振時之 Q 值為 (A)5(B)10 (C)15 (D)20 。
67. 串聯諧振電路之 Q 值為 (A)
(B)
(C)
(D)
。
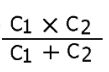
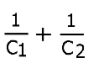
68. C1,C2 兩只電容器並聯後之總容量為 (A)
(B)
(C)
(D)
。
69. 下圖最大容許工作電壓 V 為
(A)200V (B)600V (C)260V (D)340V 。
70. 下圖 I 為
(A)3A (B)1A (C)-1A (D)0A 。
71. 某 AM 電台之天線高度約為 75 公尺,若該天線以 1/4 波長設計,則該電台之頻率約為 (A)550KHz (B)800KHz (C)1MHz (D)1.6MHz 。
72. 一般 VHF 八木天線的天線主體長度約為 (A)1 公尺 (B)0.75 公尺 (C)0.5 公尺 (D)0.3 公尺 。
73. 對一串疊式電路之特性敘述,下列何者錯誤 (A)可消除電晶體之 V 變動所產生之非線性失真 (B)可改進電路的高頻特性,增加工作頻寬 (C)可用低耐壓的電晶體,工作於高壓之機器中 (D)可以降低輸出阻抗 。
74. 要將 6 庫侖的電荷移動 3 伏特的電位差時,共需要多少焦耳的能量﹖ (A)18 (B)9 (C)3 (D)2 。
75. 頻率 1KHz 時某一 10μF 的電容器其容抗值為 (A)159.2Ω (B)15.92Ω (C)1.592Ω (D)0.1592Ω 。
76. 差動放大器的共模拒斥比(CMRR)在高頻時較低頻時為 (A)高 (B)低 (C)不變(D)視電晶體之特性而異 。
77. 下列何者電晶體電路組態具有低輸入阻抗,高輸出阻抗的特性 (A)共基極(B)共集極 (C)共射極 (D)射極隨耦器 。
78. 電晶體的集、基極間之分佈電容主要會 (A)降低高頻增益 (B)降低低頻增益(C)與增益無關 (D)可提高增益 。
79. 下列何種電路合乎阻抗匹配之原則,可得到最大之功率傳輸 (A)串聯諧振電路 (B)高通濾波電路 (C)低通濾波電路 (D)寬頻帶濾波器 。
80. 下列何種電容器通常標有極性符號 (A)雲母 (B)塑膠 (C)陶瓷 (D)鉭質 。
81. 靴帶式放大電路乃是為了要 (A)提高輸入阻抗 (B)降低輸入阻抗 (C)提高輸出電壓 (D)提高輸入電流 。
82. 當兩個大小相當且同相位的信號輸入理想差動放大器的輸入端時,其輸出為 (A)∞ (B)原波形之 2 倍 (C)0 (D)原波形之一半 。
83. 電晶體放大電路中,若加有旁路電容其目的是 (A)提高輸入阻抗 (B)增加頻寬 (C)提高電壓增益 (D)提高電流增益 。
84. 一個理想的互導放大器,其輸入電阻 Ri 及輸出電阻 Ro 應符合下列那一條件﹖ (A)Ri=∞,Ro=∞ (B)Ri=0,Ro=∞ (C)Ri=0,Ro=0 (D)Ri 及 Ro 可為任何值 。
85. 下列何者不具負電阻特性 (A)TRIAC (B)UJT (C)SCR (D)FET 。
86. 二極體內部電容量 (A)與外加逆向電壓成正比 (B)與外加逆向電壓成反比(C)與外加逆向電壓無關 (D)與外加逆向電壓成對數變化 。
87. 下列何種元件在積體電路(IC)內較難製造? (A)電晶體 (B)FET (C)電感 (D)電阻 。
88. 如下圖所示,若 JFET 之 I
DSS
=4mA,V
P
=-2V,今若 I
D
=1mA,則 V
GS
之值為何
(A)0V (B)1V (C)-1V (D)-2V 。
89. 視頻放大器中常用疊接(Cascade)放大器,是將兩級放大器接成何種組態(A)共集-共集(CC-CC) (B)共射-共基(CE-CB) (C)共射-共集(CE-CC) (D)共集-共基(CC-CB) 。
90. 有一電流並聯負回授電路,無回授時增益 A
i
為 100,頻寬為 20KHz,若加負回授後之頻寬為 100KHz,則其回授因數為 (A)0.12 (B)0.1 (C)0.08 (D)0.04 。
91. 下列何種元件正常工作是在順向偏壓 (A)變容二極體 (B)光二極體 (C)稽納二極體 (D)發光二極體 。
92. 有一差動放大器,差模電壓增益 A
d
=200,而共模拒斥比 CMRR=80dB,試求其共模電壓增益 A
c
為何? (A)2 (B)0.2 (C)0.02 (D)0.002 。
93. 下圖電路可作為
(A)高通濾波器 (B)低通濾波器 (C)帶通濾波器 (D)帶拒濾波器 。
94. 下圖電路的振盪頻率為
(A)174Hz (B)485Hz (C)714Hz (D)1765Hz 。
95. 方波的組成是由基本波(正弦波)加 (A)偶次諧波 (B)奇次諧波 (C)偶次及奇次諧波 (D)2、3、5 次諧波 。
96. 若一放大器輸入信號為 5sin100t+4sin200t,輸出信號為 10sin100t+16sin200t,則此放大器具有 (A)波幅失真 (B)頻率失真 (C)相位失真 (D)延遲失真 。
97. 箝位器會改變輸入波形的 (A)相位 (B)直流準位 (C)頻率 (D)振幅 。
98. RL 電路中,若輸出信號由電阻兩端取出,則電路功能相當於 (A)低通 (B)高通 (C)帶通 (D)帶阻 濾波器。
99. 那一種截波器兼具有放大作用? (A)二極體截波器 (B)電晶體截波器 (C)稽納(zener)二極體截波器 (D)雙二極體截波器 。
100. 下列何者不是布林函數化簡方法? (A)布林代數各種定理 (B)列表法 (C)卡諾圖法 (D)目視法 。
申論題 (0)
相關試卷
114年 - 02900 視聽電子 乙級 工作項目 08:錄音機與音響 51-73(2025/10/16 更新)#132304
114年 · #132304
114年 - 02900 視聽電子 乙級 工作項目 08:錄音機與音響 1-50(2025/10/16 更新)#132303
114年 · #132303
114年 - 02900 視聽電子 乙級 工作項目 07:顯示器 1-32(2025/10/16 更新)#132302
114年 · #132302
114年 - 02900 視聽電子 乙級 工作項目 06:電視原理 51-104(2025/10/16 更新)#132301
114年 · #132301
114年 - 02900 視聽電子 乙級 工作項目 06:電視原理 1-50(2025/10/16 更新)#132300
114年 · #132300
114年 - 02900 視聽電子 乙級 工作項目 05:收音機 1-65(2025/10/16 更新)#132299
114年 · #132299
114年 - 02900 視聽電子 乙級 工作項目 04:電子學 251-274(2025/10/16 更新)#132298
114年 · #132298
114年 - 02900 視聽電子 乙級 工作項目 04:電子學 201-250(2025/10/16 更新)#132297
114年 · #132297
114年 - 02900 視聽電子 乙級 工作項目 04:電子學 151-200(2025/10/16 更新)#132296
114年 · #132296
114年 - 02900 視聽電子 乙級 工作項目 04:電子學 101-150(2025/10/16 更新)#132295
114年 · #132295