所屬科目:通信系統
(一) X ( f ) 是純實數函數、純虛數函數或是同時具備實部和虛部的複數函數?請說明理由。
(二)請計算 X ( f ) 在 f = 0 的數值。
(三)請計算下列數值:。
(一)若要使用包絡檢測器(envelop detector)進行解調,還原 m(t ),請說明振幅靈敏度(amplitude sensitivity) > 0 參數的範圍。
(二)若 = 0.2, = 1,請畫出振幅調變訊號 s(t) 之頻譜,並明確標示出訊號中心頻率、頻寬及振幅。
(三)請畫出包絡檢測器的電路圖,並詳述其運作。
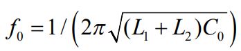
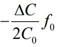
(一)請詳述其運作原理,並說明輸出訊號之瞬時頻率 f (t ) 及可變電容 C (t ) 的關係。
(二)若可變電容為 C (t ) = C0 +△C cos 且 △C << C0 ,證明輸出訊號之 瞬時頻率可近似於 f (t )≈ f 0 + △f cos 。
其中, 且 Δ f = 。
四、行動通訊系統中,基地台和行動裝置之間的雙工(duplex)機制有分時雙 工(Time-Division Duplex, TDD)和分頻雙工(Frequency-Division Duplex, FDD),請說明什麼是雙工,並詳述兩種機制如何運作。
(一)請繪製取樣後之頻譜,並說明取樣間隔詳須滿足什麼條件,方能完 美地還原訊號 x(t ) 。
(二)請詳述如何還原訊號 x(t ) ,並說明可以完美還原訊號的理由。