所屬科目:通信系統
(一)請問此系統是否為線性(linear)及非時變(Time-Invariant)?請詳述或證明之。
(二)若 x(t ) = u (t + 3) - u (t - 3),其中 u (t ) 為單位步階函數(unit step function) , 計算輸出訊號 y (t ) 之傅立葉轉換。
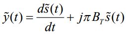
(一)令 為斜率電路的脈衝響應,且 為 h(t ) 的 c 低通等效(Lowpass Equivalent)響應,請畫出之頻率響應 並寫出其數學表示式。
(二)令 和 分別為斜率電路的帶通(passband)輸入及輸出訊號,而 分別為 s(t ) 和 y (t ) 的低通等效訊號,證明 的關係滿足下式:
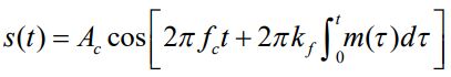
(三)若 s(t ) 為 FM 訊號
推導輸出訊號 y (t) ,並說明訊息訊號 m(t) 如何透過斜率電路和包絡檢波器解調。
(一)畫出此調變之星座圖,並依最佳決策準則繪出兩訊號之決策區間 (Decision Region),以達到最低錯誤率。
(二)以 表示上述決策準則之位元錯誤率(Bit error rate)。
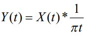
(一) X (t ) 是否包含直流成分,請證明此答案。若答案為是,請計算出直流成分之振幅。
(二)計算此隨機訊號之功率頻譜密度(power spectral density, PSD)函數。
(三)若將此隨機訊號進行希伯特轉換(Hilbert transform),得到的輸出為,求得為 Y (t) 之功率頻譜密度函數。