題組內容
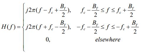
二、頻率調變 ( Frequency modulation, FM ) 訊號的解調可透過鑒頻器 (Frequency Discriminator)達成,鑒頻器包括了斜率電路(Slope Circuit) 及包絡檢波器(Envelop Detector)。斜率電路(Slope Circuit)的頻率響應如下:

其中
為載波頻率及
為斜率電路運作頻寬,請回答下列問題:
(二)令
和
分別為斜率電路的帶通(passband)輸入及輸出訊號,而
分別為 s(t ) 和 y (t ) 的低通等效訊號,證明
的關係滿足下式:
