題組內容
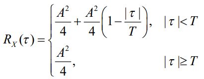
四、給定廣義平穩(Wide-Sense Stationary, WSS)隨機訊號 X (t ) 之自相關函數(Auto-correlation Function)

(二)計算此隨機訊號之功率頻譜密度(power spectral density, PSD)函數。
四、給定廣義平穩(Wide-Sense Stationary, WSS)隨機訊號 X (t ) 之自相關函數(Auto-correlation Function)

(二)計算此隨機訊號之功率頻譜密度(power spectral density, PSD)函數。