阿摩線上測驗
登入
首頁
>
通信系統
>
114年 - 114 地方政府公務特種考試_三等_電信工程:通信與系統#134723
> 申論題
題組內容
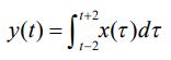
一、給定系統之輸入與輸出訊號關係如下,回答下列問題:
(一)請問此系統是否為線性(linear)及非時變(Time-Invariant)?請詳述或證明之。
相關申論題
(二)若 x(t ) = u (t + 3) - u (t - 3),其中 u (t ) 為單位步階函數(unit step function) , 計算輸出訊號 y (t ) 之傅立葉轉換。
#560604
(一)令 為斜率電路的脈衝響應,且 為 h(t ) 的 c 低通等效(Lowpass Equivalent)響應,請畫出之頻率響應 並寫出其數學表示式。
#560605
(二)令 和 分別為斜率電路的帶通(passband)輸入及輸出訊號,而 分別為 s(t ) 和 y (t ) 的低通等效訊號,證明 的關係滿足下式:
#560606
(三)若 s(t ) 為 FM 訊號 推導輸出訊號 y (t) ,並說明訊息訊號 m(t) 如何透過斜率電路和包絡檢波器解調。
#560607
(一)畫出此調變之星座圖,並依最佳決策準則繪出兩訊號之決策區間 (Decision Region),以達到最低錯誤率。
#560608
(二)以 表示上述決策準則之位元錯誤率(Bit error rate)。
#560609
(一) X (t ) 是否包含直流成分,請證明此答案。若答案為是,請計算出直流成分之振幅。
#560610
(二)計算此隨機訊號之功率頻譜密度(power spectral density, PSD)函數。
#560611
(三)若將此隨機訊號進行希伯特轉換(Hilbert transform),得到的輸出為,求得為 Y (t) 之功率頻譜密度函數。
#560612
(二)請詳述如何還原訊號 x(t ) ,並說明可以完美還原訊號的理由。
#560728
相關試卷
114年 - 114 地方政府公務特種考試_四等_電信工程:通信系統概要#134755
114年 · #134755
114年 - 114 地方政府公務特種考試_三等_電信工程:通信與系統#134723
114年 · #134723
114年 - 114 公務升官等考試_薦任_電信工程:通信與系統#133270
114年 · #133270
114年 - 114 調查特種考試_三等_電子科學組:通信與系統#129592
114年 · #129592
114年 - 114 高等考試_三級_電信工程:通信與系統#128757
114年 · #128757
114年 - 114 普通考試_電信工程:通信系統概要#128733
114年 · #128733
113年 - 113 地方政府公務特種考試_四等_電信工程:通信系統概要#124540
113年 · #124540
113年 - 113 調查特種考試_三等_電子科學組:通信與系統#122111
113年 · #122111
113年 - 113 普通考試_電信工程:通信系統概要#121514
113年 · #121514
113年 - 113 高等考試_三級_電信工程:通信與系統#121501
113年 · #121501