所屬科目:捷運◆初等土木工程學
1.土木工程施工時常會造成何者負面衝擊?(A)經濟衰退(B)物價上漲(C)失業率增加(D)交通阻塞。
2.以下何者工程圖形非針對設計及現場施工時之目的繪製?(A)甘特圖(B)施工圖(C)示意圖(D)設計圖。
3.以下何者 不是 測量學的主要目的?(A)建立地理資訊系統(B)監測地表的高程(C)評估工程的安全性(D)確認施工位置。
4.鋼筋於施工時若是保護層不足,對於施工品質之影響為何者?(A)形成剪力破壞(B)承載力不足(C)握裹力不足容易脫離混凝土(D)續接力不足形成搭接處容易破壞。
5.混凝土澆築計畫, 不包括 下列何者?(A)澆築區之範圍及劃分(B)機具及人員組織配置(C)澆築順序(D)混凝土鑽心處理標準作業程序。
6.鋼筋保護層指的是?(A)鋼筋中心到混凝土表面的距離(B)鋼筋表面到混凝土表面的距離(C)鋼筋間距(D)鋼筋到混凝土中心的距離
7.混凝土澆置時,考量溫濕度變化造成應力,需設置以下何項目,減少發生裂縫或破碎?(A)施工縫(B)收縮縫(C)冷縫(D)隔離縫。
8.以下何者非橋梁工程之場鑄工法?(A)平衡懸臂工法(B)支撐先進工法(C)地面支撐場鑄工法(D)全跨徑預鑄吊裝工法。
9.當柱、牆模板構材不良或緊結不當,澆灌混凝土時常因何種力量導致模板變形、位移或爆模等情形?(A)水平荷重(B)垂直荷重(C)側壓力(D)作業荷重。
10.鋼筋的彈性模數(kg/cm2)為何?(A)2.04x103(B)2.04x104(C)2.04x105(D)2.04x106。
11.動摩擦力的大小,與下列何者有關?(A)運動速度(B)接觸面積(C)垂直正向力(D)靜摩擦力。
12.動量的敘述何者正確?(A)運動物體停止的難易度指標(B)非向量(C)方向與速度不同(D)力量x時間。
13.鋼筋保護層之功能為何?(A)防火(B)保護鋼筋(C)達到與混凝土之握裹力(D)以上皆是。
14.工程材料從生產、施工建造、維護使用及拆除回收再利用等階段之分析,何種材料構造耗能量最低?(A)鋼骨鋼筋混凝土構造(B)鋼結構構造(C)鋼筋混凝土構造(D)鋼骨混凝土構造。
15.施工規範中何者為中國國家標準之縮寫?(A)CAS(B)AWS(C)CNS(D)DIN。
16.質量6kg的物體產生1000mm/sec2加速度,須施加多少牛頓的力?(A)6000N(B)588N(C)60N(D)6N。
17.下列何種 不屬於 建築裝修材料?(A)磁磚(B)木材(C)鋼筋(D)油漆。
18.混凝土澆置完成後拆除模板應注意以下何事項?(A)模板拆除即可,不必理會殘留物(B)拆模應依組立時之順序順向拆除(C)拆模應依組立時之順序反向拆除(D)目視混凝土凝固後即可拆除模板。
19.建築施工先由上而下開挖至大底,再由下而上完成地下與地上各層之施工方式為?(A)明挖工法(B)順打工法(C)逆打工法(D)島式工法。
20.橋梁施工時針對材料選擇需考慮?(A)耐久性(B)經濟性(C)強度(D)以上皆是。
21.卜作嵐(矽灰Pozzolanic)加入混凝土之影響為何者?(A)增加水化熱(B)增加工作度(C)增加成本(D)減少水密性。
22.混凝土澆置產生冷縫之預防措施以下何者 為非 ?(A)於太陽下高溫時快速澆置(B)預先擬定澆置計畫(C)充分供料(D)注意澆置時溫度(E)設計施工縫。
23.混凝土發生裂縫原因有許多,其中之一為大面積澆置時未設置施工縫,預防方式以下為何者?(A)正常配比(B)避免高溫氣候下澆置(C)視狀況設置施工縫(D)正確搗實。
24.橋梁檢測的主要目的是?(A)評估橋梁的健康狀況(B)制定劣化維護計畫(C)追蹤橋梁劣化程度(D)以上皆是。
25.混凝土澆置後,模板與露面之混凝土應連續保持潮濕多久?(A)24小時(B)3天(C)7天(D)14天。
26.有一風扇馬達轉速為1200rpm,其30秒內轉了幾圈?(A)600圈(B)1600圈(C)3600圈(D)1200圈。
27.裝修常用矽利康材料主要用途何者 為非 ?(A)填縫(B)裝飾(C)防水(D)黏著。
28.不計氣球質量及沙包浮力,當氣球載3個沙包,有上升加速度a,當氣球載9個沙包,有下降加速度a。若氣球不升降,需載多少沙包?(A)4.5個(B)5個(C)5.5個(D)6個。
29.基礎工程開挖時加強工區抽排水及止水的目的以下何者 為非 ?(A)減少擋土牆水壓力(B)防止工區湧水(C)增加開挖面之穩定(D)抽水作為工區飲用水。
30.以下何種結構在一般情況下皆為二力桿件?(A)複合結構(B)桁架結構(C)梁結構(D)剛架結構。
31.200kg均勻對稱的船,長9公尺且靜止,甲人及乙人各站於船的頭尾,其重量各為60kg及40kg,當2人同時移動且同時停止,停時甲人在船尾,乙人在船中央,則船移動多少公尺?(A)1公尺(B)1.1公尺(C)1.2公尺(D)1.3公尺。
32.在梁的彎矩圖中,最大彎矩通常發生在哪裡?(A)支點處(B)中間跨距處(C)任意位置(D)端部。
33.土木工程的土壤抗壓強度測試,常用的工具是?(A)萬能材料測試機(B)地層壓實機(C)振動台(D)土壤貫入測試儀。
34.鋼骨結構之特性何者 為非 ?(A)具高強度及高韌性(B)建造成本最低的材料(C)具預製性,可大幅縮短工期(D)對地球環境影響最小的材料。
35.有一直徑16mm之鋼筋,彈性係數2.1*106kg/cm2,受2t張力作用後伸長2mm,則鋼筋原來的長度約為多少?(A)4.2m(B)8.1m(C)21m(D)2.1m。
36.某材料的剪力試驗可得到當剪應力為500KPa時剪應變為0.001,該材料蒲松比ν為0.4,則此材料彈性模數E為何?(A)1.2GPa(B)1.3GPa(C)1.4GPa(D)1.5GPa。
37.混凝土坍度試驗主要目的為何?(A)測試黏度(B)測試抗壓強度(C)測試工作性(D)測試透水性。
38.若材料受力維持不變,但隨時間增加,其變形也持續增加,時間越長,變形將越趨穩定,此現象稱為?(A)疲勞(B)潛變(C)鬆弛(D)彈性。
39.下列敘述何者正確?(A)斷面上離中立軸越遠之點所受之彎曲應力越大(B)受軸力作用之桿件越長,其所發生的應變亦越大(C)斷面上中立軸至剪應力為零(D)彈性係數越大,其所發生的變形亦越大。
40.兩片玻璃中間隔著彈性膠體,有較好的隔音性能稱作?(A)泡沫玻璃(B)雙層玻璃(C)強化玻璃(D)膠合玻璃。
41.有A球自離地面高為300公尺處自由落下,同時B球自地面以60m/sec之速度鉛直上拋,則兩球經幾秒後會相遇?(A)4(B)5(C)6(D)7。
42.當一均質之延性材料進行扭力試驗至破壞時,其破壞面趨近於何情形?(A)與軸向成45度角之錐面斷裂(B)不規則狀之爆裂斷裂(C)與軸向成45度角之平面斷裂(D)與軸向垂直之平面斷裂。
43.在工作井逐一將預鑄完成的涵管推向前端的作業方式為?(A)推進工法(B)潛盾工法(C)新奧工法(D)明挖覆蓋法。
44.在平面應力中,產生最大主應力σ1與產生最小主應力σ2的兩個斷面形成之交角為何?(A)1800(B)900(C)450(D)150。
45.一般梁承受彎矩,若以彎曲強度考量,設計上較佳的做法為何?(A)使用截面積較大之梁(B)使用楊氏係數較大之梁(C)使用截面慣性矩較大之梁(D)使用截面係數較大之梁。
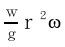
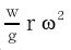
46.重量為W之物體,在半徑r之圓周上作等速運動,角速度為ω,則此物體之向心力為何?(A)(B)wrω2(C)(D)wr2ω
47.軌道工程的標準軌距為多少公分?(A)106.7(B)143.5(C)167.6(D)1435。
48.一般延展性材料進行拉伸試驗時,其應力達到何種強度,會產生頸縮(necking)現象?(A)抗拉強度(B)彈性限度(C)比例限度(D)降伏強度。
49.當一木塊靜置於平面上,用一力將木塊拉動,則接觸面間之最大靜摩擦力發生在木塊甚麼動作?(A)加速度運動時(B)開始運動瞬間(C)等速運動(D)靜止時。
50.力的三要素為何?(A)時間、方向及作用點(B)大小、時間及作用點(C)大小、方向及時間(D)大小、方向及作用點。