所屬科目:技檢◆化工-丙級
1. 中和 1 公克油脂中所含之游離脂肪酸時,所需的 KOH 毫克數稱為 (A)酸價 (B)碘價 (C)皂化價 (D)力價。
2. 下列何者非屬於容易發生墜落災害的作業場所? (A)廚房 (B)施工架 (C)屋頂 (D)梯子、合梯。
3. 所謂的光化學煙霧(Photochemical Smog)主要是指下列的哪一類氣體? (A)NO2,O3 (B)CH4,C6H6 (C)SO2,SO3 (D)CO,CO2。
4. 流體在圓管中呈層流流動,則雷諾數(Reynolds number, Re)的範圍為 (A)Re<2100 (B)4000<Re<10000 (C)2100<Re<4000 (D)Re>10000。
5. 對於化學燒傷傷患的一般處理原則,下列何者正確? (A)使用酸鹼中和 (B)立即用大量清水沖洗 (C)於 燒傷處塗抹油膏、油脂或發酵粉 (D)傷患必須臥下,而且頭、胸部須高於身體其他部位。
6. 對材料施予一定的負荷(Load),以測定其長度隨時間而慢慢改變的試驗,是稱為 (A)硬度試驗 (Hardness Test) (B)拉伸試驗(Tension Test) (C)疲乏試驗(Fatigue Test) (D)潛變試驗(Creep Test)。
7. 若水在水平擴管中流動,當管的截面積變大時,則水的 (A)流速變小 (B)流速變大 (C)水壓不變 (D)流速 不變。
8. 在水分子中,氧的未共用電子對有多少對? (A)一對 (B)二對 (C)三對 (D)四對。
9. 在酸性液中呈無色的指示劑是 (A)石蕊 (B)酚酞 (C)甲基橙 (D)甲基紅。
10. 製造酚甲醛樹脂的成形品,一般大都採用下列何種加工法? (A)擠壓成形法 (B)壓延成形法 (C)射出成 形法 (D)壓縮成形法。
11. 紡織業用來量度纖維的粗細,大都以何者為單位? (A)磅 (B)盎司 (C)克拉 (D)丹尼(Denier, D)。
12. 化工廠常將製造程式中所涉及物理操作分類成單元,稱為 (A)單元操作 (B)化學單元 (C)單元程式 (D)物 理單元。
13. 某生產程序中每小時需使用 60wt%的硫酸 1000kg,若 60wt%的硫酸是用 80wt%的濃硫酸及 30wt% 的稀硫酸混合而形成,應如何配製才能得到所需要的硫酸? (A)濃硫酸 600kg/hr (B)稀硫酸 300kg/hr (C)稀硫酸 800kg/hr (D)濃硫酸 300kg/hr。
14. 下列何種物質是屬於不可壓縮流體? (A)氮氣 (B)空氣 (C)水 (D)蒸氣。
15. 耐綸(Nylon)是屬於何種纖維? (A)聚乙烯醇 (B)聚醯胺 (C)聚氟乙烯 (D)聚多元酯。
16. 下列關於旋風分離器的敘述,何者錯誤? (A)旋風分離器是利用離心力來驅動,所以不須加設離心機 (B)空氣中的灰塵可利用旋風分離器 (C)集塵效果優於袋濾機 (D)含塵氣體需以切線方向送入旋風分離 機內。
17. 賦予塗膜色彩並使塗膜因而具有遮蔽的能力的成分為 (A)硬化劑 (B)乾燥劑 (C)可塑劑 (D)顏料。
18. 當 20℃的水在圓管內流動且雷諾數等於 1000 時,則水與管壁之摩擦係數是為多少? (A)0.05 (B)0.016 (C)0.128 (D)0.001。
19. 在碘滴定時,是使用下列何種標準溶液? (A)K2 Cr 2O7 (B)Na 2 S2O3 (C)EDTA (D)H2 C2O4。
20. 關於鹵素性質的敘述,下列何者正確? (A)鹵素之顏色會隨分子量的增加而加深 (B)隨原子序的增 加,游離能漸增 (C)隨原子序的增加,沸點、熔點會遞減 (D)在自然界碘可游離而出。
21. 一般而言,對於流體黏度隨溫度變化之敘述,下列何者正確? (A)氣體與液體的黏度均隨溫度上升而 增加 (B)氣體與液體的黏度均隨溫度上升而減小 (C)當溫度上升時,液體黏度增加而氣體黏度減小 (D) 當溫度上升時,液體黏度減小而氣體黏度增加。
22. 下列關於催化劑的敘述中,何者正確? (A)同一催化劑對不同化學反應的催化效果大致相同 (B)催化 劑可改變化學反應的活化能 (C)催化劑可改變化學反應的反應熱 (D)任何化學反應均需依賴催化劑的 參與才能發生。
23. 長期盛裝 KMnO4 溶液的玻璃器皿,常會留下棕色污漬,要洗淨該污漬最好使用下列何種物質? (A)HClO4 (B)H2 C2O4 (C)HNO3 (D)CH3 COOH。
24. 下列敘述何者錯誤? (A)自己或他人捏造、扭曲、竄改或虛構的訊息,只要一小部分能證明是真的, 就不會構成假訊息 (B)對新聞媒體報導有意見,向國家通訊傳播委員會申訴 (C)憲法保障言論自由, 但散布假新聞、假消息仍須面對法律責任 (D)在網路或 Line 社群網站收到假訊息,可以敘明案情並 附加截圖檔,向法務部調查局檢舉。
25. 下列各條件中,何者不會影響反應的速率? (A)活化能 (B)催化劑 (C)反應物濃度 (D)反應熱。
26. 下列的能源效率分級標示,哪一項較省電? (A)1 (B)4 (C)2 (D)3。
27. 能求出相當於控制量與目標值間的偏差訊號,然後做適當運算並再傳送到操作部門,前面的敘述為 下列哪一裝置的作用? (A)傳送器 (B)感測器 (C)控制器 (D)轉換器。
28. 上班性質的商辦大樓為了降低尖峰時段用電,下列何者是錯的? (A)使用儲冰式空調系統減少白天空 調用電需求 (B)白天有陽光照明,所以白天可以將照明設備全關掉 (C)汰換老舊電梯馬達並使用變頻 控制 (D)電梯設定隔層停止控制,減少頻繁啟動。
29. 下列熱傳送的裝置中,何者無相變化發生? (A)重沸器 (B)蒸發氣 (C)套管熱交換器 (D)冷凝器。
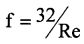
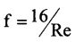
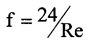
30. 若流體在圓管中呈層流流動,則摩擦係數(f)與雷諾數(Re)之關係為 (A)(B)(C)(D) 。
31. 下列各種酒中,何者是蒸餾酒? (A)葡萄酒 (B)威士忌酒 (C)紹興酒 (D)啤酒。
32. 採用 P 控制的控制器,若增益為 2,則比例帶為多少%? (A)20 (B)0.5 (C)50 (D)2。
33. 往復泵之總效率為 (A)水缸效率×壓力效率 (B)容積效率÷水缸效率 (C)容積效率×水缸效率 (D)容積效率 ×壓力效率。
34. 輸送管之接合以何種方式較不會發生滲漏? (A)法蘭接合 (B)螺旋接合 (C)鍛熔接合 (D)插套接合。
35. 水玻璃製成極小的顆粒,主要成分為 (A)硫酸鈉 (B)矽酸鈉 (C)碳化矽 (D)硼酸。
36. 濕度表中,濕度百分率 100%曲線之上方的區域,是為 (A)飽和空氣和乾燥空氣的混合氣體 (B)不飽和 空氣 (C)飽和空氣 (D)乾燥空氣。
37. 汽化熱雖為溫度的函數,但一經確定壓力則可確定其沸點,如此汽化熱便可成為 (A)體積的函數 (B) 物量的函數 (C)濃度的函數 (D)固定值。
38. 台灣自來水之水源主要取自 (A)海洋的水 (B)綠洲的水 (C)灌溉渠道的水 (D)河川或水庫的水。
39. 反應器採 (A)流動床型 (B)固定床型 (C)旋轉圓盤型 (D)移動床型 ,可經常保持觸媒的高度活性。
40. 小美是公司的業務經理,有一天巧遇國中同班的死黨小林,發現他是公司的下游廠商老闆。最近小 美處理一件公司的招標案件,小林的公司也在其中,私下約小美見面,請求她提供這次招標案的底 標,並馬上要給予幾十萬元的前謝金,請問小美該怎麼辦? (A)應該堅決拒絕,並避免每次見面都與 小林談論相關業務問題 (B)朋友一場,給他一個比較接近底標的金額,反正又不是正確的,所以沒關 係 (C)退回錢,並告訴小林都是老朋友,一定會全力幫忙 (D)收下錢,將錢拿出來給單位同事們分 紅。
41. 我國制定何種法律以保護刑事案件之證人,使其勇於出面作證,俾利犯罪之偵查、審判? (A)刑事訴 訟法 (B)貪污治罪條例 (C)證人保護法 (D)行政程序法。
42. 以氨鹼法製造碳酸鈉,所需的原料除了食鹽、焦碳及氨氣外,尚有 (A)硝酸鈉 (B)氯化鈣 (C)氫氧化鈉 (D)石灰石。
43. 在常溫常壓下,空氣之普蘭特數(Prandtl number, Pr)約為 (A)100 (B)0.7 (C)70 (D)10。
44. 在金屬成分的工業分析過程中,通常用何種酸液來處理及溶解其樣品? (A)HNO3 (B)HClO4 (C)H3PO4 (D)H2S2O7。
45. 奧立佛(Oliver)濾機是屬於 (A)重力濾機 (B)離心濾機 (C)真空濾機 (D)壓濾機。
46. 水中生化需氧量(BOD)愈高,其所代表的意義為下列何者? (A)水為硬水 (B)有機污染物多 (C)水質 偏酸 (D)分解污染物時不需消耗太多氧。
47. 高碘值的油脂適合作下列的何種用途? (A)化妝品 (B)洗髮精 (C)食用油 (D)油漆。
48. 硝酸受熱作用或日光照射時,會發生分解而產生何種氣體致略帶黃色? (A)NO2 與 H2O (B)NO2 與 NO (C)NO 與 O2 (D)NO2。
49. 液體混合物是否能以蒸餾方法來分離,是依何種因素來判斷? (A)相對揮發度 (B)操作壓力 (C)液體的 黏度 (D)操作溫度。
50. 乾冰中 CO2 分子的吸引力是為下列何者? (A)離子性共價鍵 (B)離子鍵 (C)凡得瓦力 (D)共價鍵。
51. 在製造紙漿程序的漂白工程中,通常是使用下列何物將紙漿漂白? (A)臭氧 (B)次氯酸鈣 (C)亞硫酸 (D) 硫酸鈉。
52. 不銹鋼(Stainless Steels)對下列何種酸的抵抗力最弱? (A)鉻酸 (B)鹽酸 (C)硝酸 (D)硫酸。
53. 欲測定廢水中之重金屬的含量,下列何種光譜分析儀器最為適合? (A)原子吸收光譜儀 (B)紅光線光 譜儀 (C)紫外線光譜儀 (D)氣相層析儀。
54. 依職業安全衛生設施規則規定,下列何者非屬於車輛系營建機械? (A)平土機 (B)堆高機 (C)推土機 (D) 鏟土機。
55. 一般家庭用的玻璃製烹飪鍋具或餐具,是屬於何種特殊玻璃的製品? (A)鈉鈣玻璃 (B)耐火玻璃瓷 (C)96%石英玻璃 (D)玻璃纖維。
56. 用何種芳香族化合物最易進行硝化反應? (A)苯甲酸 (B)酚 (C)苯 (D)硝基苯。
57. 冰箱在廢棄回收時應特別注意哪一項物質,以避免逸散至大氣中造成臭氧層的破壞? (A)甲醛 (B)汞 (C)苯 (D)冷媒。
58. 漂白粉因其在分解過程中,會產生何物致起強烈氧化作用而生漂白之效? (A)初生氮 (B)初生氯 (C)初 生氧 (D)初生氫。
59. 下列何者是最古老最簡單之過濾器? (A)葉濾機(leaf filter) (B)重力濾器(gravity filter) (C)壓濾 機(filter press) (D)真空濾機(vacuum filter)。
60. 決定元素化學性質的主要因素是 (A)原子序 (B)原子存在狀態 (C)原子量 (D)原子大小。
61. 有一含水量為 70wt%(重量)的濕紙漿 1kg,經乾燥處理後除去原有水分的 60%,試求該濕紙漿失 去之水重多少? (A)0.42kg (B)0.18kg (C)0.21kg (D)0.28kg。
62. 依勞動基準法規定,雇主應置備勞工工資清冊並應保存幾年? (A)5 年 (B)2 年 (C)10 年 (D)1 年。
63. 現在以接觸法製造 H2SO4 時,是以何物當催化劑? (A)白金石棉 (B)V2O5 (C)NO2 (D)Fe 2O3。
64. 下列何者為環境保護的正確作為? (A)自己開車不共乘 (B)不隨手關燈 (C)多吃肉少蔬食 (D)鐵馬步行。
65. 不同濃度溶液的沸點與同壓下純水沸點成線性函數關係,稱為 (A)杜林法則 (B)傅立葉定律 (C)斐克定 律 (D)亨利定律。
66. 浮球、電極棒可用來控制 (A)溫度 (B)液面 (C)壓力 (D)加熱。
67. 在 溶液中加入 6N 之 KNO2 及 AgNO3 後,將出現何種現象? (A)Ag 析出 (B)NO2 氣體生成 (C)AgCl 沉澱生成 (D)Cl2 氣體生成。
68. 依據台灣電力公司三段式時間電價(尖峰、半尖峰及離峰時段)的規定,請問哪個時段電價最便宜? (A)尖峰時段 (B)離峰時段 (C)非夏月半尖峰時段 (D)夏月半尖峰時段。
69. 由強酸與弱鹼所形成的鹽,水解後呈 (A)鹼性 (B)酸性 (C)中性 (D)不一定。
70. 下列各項之敘述何者錯誤? (A)製造肥皂的原料為胺基酸 (B)酸價大的油脂,其新鮮度較差 (C)皂化價 大者,是為低級脂肪酸之甘油酯所構成的油脂 (D)碘價愈高油脂愈不飽和。
71. 標定鹽酸溶液之標定劑常用 (A)鄰苯二甲酸氫鉀 (B)氫氧化鈉 (C)草酸鈉 (D)無水碳酸鈉。
72. 有關建築之外殼節能設計,下列敘述何者錯誤? (A)宜採用全面玻璃造型設計,以利自然採光 (B)大 開窗面避免設置於東西日曬方位 (C)開窗區域設置遮陽設備 (D)做好屋頂隔熱設施。
73. 在吸收操作中,良好之吸收劑應為 (A)溶解性高 (B)揮發性高 (C)腐蝕性高 (D)黏度高。
74. 下列何者行為會有侵害著作權的問題? (A)將報導事件事實的新聞文字轉貼於自己的社群網站 (B)直 接轉貼高普考考古題在 FACEBOOK (C)以分享網址的方式轉貼資訊分享於社群網站 (D)將講師的授課 內容錄音,複製多份分贈友人。
75. 葡萄酒是為 (A)混合酒 (B)蒸餾酒 (C)複醱酵酒 (D)單醱酵酒。
76. CH3 CH2 CHClCH3 與 KOH( a l c )反應後之主要生成物是為 (A)CH3CHCH3=CH2 (B)CH3 CHOHCH3 (C)CH2 =CHCH2CH3 (D)CH3CH=CHCH3。
77. 在蒸發裝置的附件中,其乾式冷凝器的大氣腳長度至少需要多少公尺? (A)10 (B)4 (C)6 (D)2。
78. 成形之玻璃置於適當溫度的室內而令其徐徐冷卻,是為防止應變或除去內應力,此項作業稱之為 (A) 整修 (B)熱處理 (C)冷凝 (D)退火。
79. 浮力式浮標液位計,主要是在測量浮標的何種變量? (A)重量 (B)位移 (C)體積 (D)面積。
80. 實驗室中常用的洗滌液,是由何種物質與硫酸所混合而成的? (A)Na2C2O4 (B)Na2Cr2O7 (C)Mg2P2O7 (D)Cu(NH3 )4 (OH)2。