所屬科目:教甄◆數學
1. 設 z 為複數且|z|=1 ,求 |z2+2z-2|的最大值=__________ 。
2. 已知多項 式 f(x)=(x2+x+1)5展開後為。 則的值為 __________。
3.△ABC 中,已知 A=90 ,則 △ABC 的面積為___________ 。
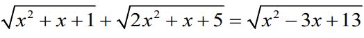
4. 求滿足方程式的正實數 x=_________ 。
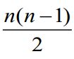
5. 從正整數 1,2,3,…, n 中任取 相異的 兩數相乘,若這個乘積的算術平均 數為 5 5, 則 n 值為_________ 。
6 . 如右 圖所示 ,二直 線 L1: x+3y= k1 與 L2:2x+y= k2相交 於 A 點。在 L1 上一點 P1 向左走 60 單位到 L2 上 的 P2 點; 再從 P2 向上走 到 L1 的 P3 點,再從 P3 向左走 到 L2 上的 P4 點; 依此 規則持續走下 去,在 L1 上得到 P1, P3 , P5 ,…, 在 L2 上得 P2, P4, P6 ,…, 則=____________ 。
7. 設有甲、乙、丙、丁四台電腦,利用擲一顆公正骰子的方式決定任意兩台電腦是否要連線:若出現奇數點數,則此兩台電腦連線;若出現偶數點數,則此兩台電腦不連線。已知每個傳到其中一台電腦的訊息會 同時傳到其它和這台有連線的電腦。求甲、乙、丙、丁四台電腦的每台電腦都能夠從其它所有電腦收到訊息的機率= ___________。
8. 坐標空間中有一個稜長為 1 的正立方體 OABC-DEFG,示意圖如右圖。 P 點在上,且 =1: 2,若 P 點在平面 ADF 上的投影點為 H 點, 求 H 點到平面 OABC 的最短距離=_________ 。
9. △ABC 中,已知=6 ,且,當 △ABC 面積有最大值時,則 cos A =__________。
10. 有一底面半徑為 3 公分且密度不均勻的圓柱體,傾斜漂浮在靜止的水平面上,水面剛好通過底面直徑且與底面成 45°角,示意圖如右。 求此圓柱體在水面下的立體體積為____________立方公分。(圓周率=π)
一、設 a、 b 、 c 為正實數,且滿足 a+b+c=4 ,試求 的最小值。
二、某租借站 的車輛 借用狀 況遵循 以下 規則:若 當天有 車,隔 天無車 的機率 為;若當天無車,隔天無車的機率 為。假設第 1 天 該 站有車可借,我們觀察該站的每日車輛狀況序列 , 定義隨機變數 X 為滿足以下條件 的最 小正整數 :第 X 天 與第 X+1 天皆 無車 可借。試求 X 的期 望
(1)求向量內積 =? (4 分)
(2)若點 K 滿足,其中 x ≥0,y ≥0,z≥0,且 x+ y+ z=1 ,求動點 K 所成的集合之面積?
(1) 求 f (2026) 之值? (4 分)
(2) 求滿足 f (x)= f (2026) 的最小正數 x=? (6 分)