所屬科目:教甄◆數學
A. 已知 21! 為 20 位數,計算出其值等於 51090942171709ab0000 ,其中 a, b ∈ {0,1, 2,3, 4,5, 6, 7,8,9} ,則 (a, b) = _____________。
B. 遊戲公司宣稱某稀有卡片每次能抽取到的機率達 2%,A 玩家不太認同,要進行合理性的檢定,選定幾何分布連續抽取到該稀有卡片為止,並決定顯著水準為 0.01 後,得到拒絕域為區間 [n,∞),其中 n 為自然數,則 n =_____________。
C. 求= _____________。
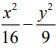
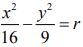
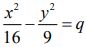
D. 平面上,O 為原點,在= 1 的兩條漸近線上分別取點 A、B,使得= 150 。若 P 為中點,且 P 點的軌跡方程式為及,則 qr = _____________。
E. 設 ABCD 為正四面體,若 P 、 Q 、 S 、 R 分別為稜邊上的分點,滿足= 2:1 ,令四邊形 PQRS 與 △BCD 所夾的兩面角為θ,試求cosθ= _____________。
F. 設 A(2,1, −2) 、 B(4, −1, −4) 為空間兩點,原點 O(0, 0, 0) 與 P( x, y, z ) 在平面 E : 2x + 2y − z = 0 上且滿足= 1 ,試求的最小值為_____________。
G. 設三角函數 f (x) = sin4x + cos4x + sin3x + cos3x + sin2x + cos2x ,令 f(x) 的最大值為 M ,最小值為 m ,試求 M − m =_____________。
H. 令 m 、 n 為正整數,且 m 、 n 滿足,試求之最小值為_____________。
I. 一個半圓裡有個四邊形 ABCD,其中為直徑,且= 2 ,= 9 ,= 12 ,求的長度為_____________。
J. 如圖, I 為 △ABC 之內心,,若= 6 ,= 12,= 9 ,試求= _____________。
K. 在 3 ✕ 3 方格紙的 9 個小格中心隨機選取 4 個分別標記一個記號○。考慮任一小格,若其緊鄰的小格(不含自己)恰有 2 格被標記,則得一分,累計 9 小格的總得分數為隨機變數 X,例:如圖,左下、中、上、右四小格各得 1 分,此時 X = 4。試求 E(X) =_____________。
L. 空間坐標系中,欲從點 A(3, 0, 0) 走捷徑前往點 B(0,3,3) ,每次都只能沿著平行 x 軸、y 軸或 z 軸的方向移動一個單位。試 問在不觸及平面 E : 2 x + 2 y + z = 4 的條件下,一共有_____________種走法。
M. 平面坐標上有三個圓 C1 : ( x + 5)2 + y2 = 16 、 C2 : ( x − 5 )2 + y2 = 4 、 C3 : ( x − 29 )2 + ( y − 24 )2 = 4 ,試問同時與此三個圓外切的圓心坐標為_____________。
N. 已知兩三次函數 f (x) = x3 − x 與 g(x) = ( x − 1)3 − ( x − 1) + 2 的圖形有三條公切線,其中兩條公切線方程式分別為 y = ax + b、y = ax + c ,求 abc = _____________。
O. 圓 Γ1 是 △ABC 的外接圓,= 8 、= 7 、= 6 , D 為直線 BC 上一點,滿足直線 AD 與圓 Γ1 相切於 A 點,圓 Γ2 通過A、D兩點,且和直線 BD 相切於 D 點,圓 Γ1 、圓 Γ2 交於 A 、 E 兩點,則=________。
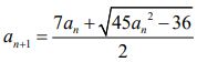
P. 數列<an>滿足 a0 = 1 ,,且為費波納契數列,滿足 F1 = F2 = 1 ,若 F2025 恰為<an>的第 m 項,則 m = _____________。
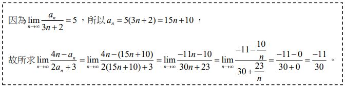
二、非選題:Q. 某學生解一道題目「已知=5,求。」解法如下:問該學生解法過程有無錯誤?若有,請指出錯誤與如何對學生說明,並給出正確解法。若無,請給出另一種做法。
R. 在翰林版課本第二冊數列級數的單元中提到,一個圓上有 n 個點互相連成線段之後,將圓的內部分割成最多an個區域;某生在觀察前五項的規律之後,推測一般式,試問此結果正確還是錯誤?若正確請證明;若錯誤,請找出正確的一般式,並解釋之。