所屬科目:教甄◆數學
1. 從 11、12、13、14、15、16、17、19 共 8 個數字中任取 3 個,則取到的三數其標準差與 25、26、28 三數的標準差相同的機率為_________。
2. 若 P 為△ABC 內部一點(不含邊界),G 為△ABC 的重心,且滿足,則實數 k 的範圍為_________。
3. 設空間中一點 A(5,5,2),直線 L 過 A 點且 L 的一個方向向量為 (4,3,1),另有一平面 E:2x + y + 3z = 7,B 為 L 與 E 之交點,點 C 在 E 上且滿足,試求使△ABC 面積最大之 C 點坐標為_________。
4. 小強有一堆 1 元、5 元、10 元的硬幣,他發現 1 元硬幣的個數大於等於 5 元硬幣的個數,5 元硬幣的個數大於等於 10 元硬幣的個數,10 元硬幣的個數大於等於 8 個,且「1 元硬幣的個數」加上「5 元硬幣的個數的 3 倍」再扣掉「10 元硬幣的個數」剛好是 60 個。則他手上的硬幣總金額最多為_________。
5. 空間向量 (-8+4s+2t, 3+s-3t, 27+5s+t) 的長度最小值為_________。
6. 如下圖,△PQR 為正三角形,A、B、C 分別落在 邊上,且△ABC 中,∠ACB = 90°。若 = 4, = 5, = 7,則 = _________。(圖形僅供參考)
7. 設 f(x)、g(x) 皆為實係數多項式,其中 g(x) 是首項係數為正的二次多項式。已知 (g(x))² 除以 f(x) 的餘式為 a·g(x),其中 a 為正整數。已知 y = f(x) 的圖形與 x 軸無交點,且 y = g(x) 的頂點 y 坐標為 9,則所有可能的 a 值之和為_________。
8. 空間中,兩點 A(1,-2,-1)、B(3,1,0),一平面 E:2x - y - 2z - 1 = 0,若 E 上一點 P 使 有最小值 M 時,P 點的坐標為 (x₀, y₀, z₀),則 (M, x₀, y₀, z₀) = _________。
9. 在 xy 平面上,點集合 F = {(x, y) | |2x + y| + |x - 3y| ≤ 8} 所形成的區域面積為_________。
10. 設 0 < θ < ,則 所有可能的值為_________。
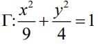
11. 平面上一橢圓 ,將 Γ 繞原點逆時針旋轉 θ(0° < θ < 90°)後得到橢圓 Γ₁,其中 cos θ = ,若 Γ₁ 與 Γ 交四點,則此四點逆時針依序連接成的四邊形面積為_________。
12. 試求 = _________。
13. 若 a, b ∈ ℝ 且滿足以下兩條件:① a + b ∈ ℤ;② ,則 a + b 最大可能的值為_________。
14. 等腰梯形 ABCD 中,M、N 分別為兩腰中點,若已知對角線 = 7,且 = 13,則等腰梯形 ABCD 的面積為_________。
15. 若方程式 x⁴ + 2√3(log₃k)x² + 2 - (log₃k)² = 0 有四個相異實根,則實數 k 的範圍為_________。
16. 現有一堆數量為 n 的白色圍棋棋子,重複以下步驟至分成 n 堆數量為 1 的棋子:
(1) 將數量不是 1 的棋子分成兩堆;
(2) 求剛分成兩堆棋子數量的乘積。
最後求所有乘積的總和為 k。
例如:有一堆數量為 4 的棋子,先分成 2,2 兩堆,得乘積 4;再將其中一堆分成 1,1 兩堆,得乘積 1;再將最後一堆數量為 2 的分成 1,1 兩堆,得乘積 1。所有乘積的總和為 4 + 1 + 1 = 6。
若 k > 2026,則 n 最小值為_________。
二、計算證明題1. 求數列 的一般項 aₙ = _________。(答案以 n 表示)
2. 若複數 α、β、γ 滿足 |α| = |β| = |γ| = 1,試證明為實數。