阿摩線上測驗
登入
首頁
>
技檢◆電腦輔助機械設計製圖-乙級
> 115年 - 20800 電腦輔助機械設計製圖 乙級 工作項目 07:實物測繪 1-50(2026/01/07 更新)#136486
115年 - 20800 電腦輔助機械設計製圖 乙級 工作項目 07:實物測繪 1-50(2026/01/07 更新)#136486
科目:
技檢◆電腦輔助機械設計製圖-乙級 |
年份:
115年 |
選擇題數:
50 |
申論題數:
0
試卷資訊
所屬科目:
技檢◆電腦輔助機械設計製圖-乙級
選擇題 (50)
1. 一般機件如需實物測繪時,其草圖繪製方法為 (A)徒手鉛筆畫 (B)儀器鉛筆畫 (C)徒手上墨畫 (D)儀器上墨畫 。
2. 測繪如下圖為不規則外形且有一平面之零件時,可用下列何種方法取得正確的形狀?
(A)目測法 (B)刮印法 (C)拓印法 (D)攝影法 。
3. 繪製實物測繪草圖時,其線條粗細為 (A)全部用粗線 (B)全部用中線 (C)全部用細線 (D)依線條用途繪製 。
4. 繪製草圖時,圖形的大小與實物之關係為 (A)1:1 繪製 (B)2:1 繪製 (C)儘量放大 (D)依適當大小繪製 。
5. 車床尾座頂心孔錐度為 (A)傑可布斯錐度(Jacok's) (B)莫氏錐度(Morse) (C)伯朗夏普錐度(Brown&Sharpe) (D)嘉諾錐度(Jarno) 。
6. 測量下圖物件之盲孔(直徑小於 3mm)深度 L,其優先選用之測量工具為
(A)深度分厘卡 (B)游標深度尺 (C)游標卡尺 (D)細圓棒轉量 。
7. 測繪 V 型槽繩輪時,其夾角為 (A)14° (B)35° (C)40° (D)55° 以上。
8. 測繪錐形離合器時,其正常半圓錐角不得小於 (A)8° (B)24° (C)45° (D)60° 。
9. 洛氏 C 硬度(HRc)所用的壓痕器為 (A)120°金鋼石圓錐 (B)136°金鋼石方錐(C)ψ1/16"鋼球 (D)ψ10mm 鋼球 。
10. 洛氏 B 硬度(HRb)試片所用的荷重為 (A)45kgf (B)60kgf (C)100kgf (D)150kgf 。
11. 利用小金鋼石圓錐,由一定高度自由落下撞衝試片之後反跳至某一高度,來量測材料硬度的試驗方法為 (A)勃氏硬度試驗 (B)洛氏硬度試驗 (C)維氏硬度試驗 (D)蕭氏硬度試驗 。
12. 鋼之主要元素為鐵和碳,而鋼的碳含量範圍,一般定義在 (A)0.02%以下 (B)0.02%~2%之間 (C)2%~3%之間 (D)3%以上 。
13. 一般構造用鋼 SS400,其中的「400」表示 (A)含碳量 0.40% (B)伸長率40% (C)抗拉強度 400N/mm
2
(D)HRc 硬度 400 。
14. 機械構造用鋼 S45C,其中的「45」表示 (A)含碳量 0.45% (B)伸長率 45% (C)抗拉強度 45N/mm
2
(D)含鐵量 45% 。
15. 不銹鋼的合金元素能對鋼的表面產生氧化膜,且對鋼具有保護作用的元素為 (A)銅 (B)鉻 (C)錳 (D)鎳 。
16. 滲碳用鋼材,一般採用 (A)純鐵 (B)低碳鋼 (C)中碳鋼 (D)高碳鋼 。
17. 氮化用鋼碳含量一般約在 (A)0.02%~0.2% (B)0.2%~0.5% (C)0.5%~0.8% (D)0.8%~1.2% 。
18. 一般常用的游標萬能量角器精度可達 (A)1" (B)5" (C)10" (D)30" 。
19. 精度為 0.05mm 的游標卡尺,設本尺一格為 1mm,而游尺取 19mm長,則游尺上的刻劃有 (A)20 格 (B)30 格 (C)40 格 (D)50 格 。
20. M型游標卡尺無法直接測量工件的 (A)深度 (B)階級差 (C)內徑 (D)錐度 。
21. 螺紋分厘卡是用來量測螺紋的 (A)底徑 (B)外徑 (C)節徑 (D)牙深 。
22. 測量螺栓或螺帽每吋螺紋數,最常用的量具為 (A)鋼尺 (B)螺距規 (C)螺紋分厘卡 (D)螺紋樣規 。
23. 一般分厘卡主軸之螺距為 (A)0.5mm (B)1mm (C)2.5mm (D)5mm 。
24. 測量齒輪之跨齒厚應使用 (A)尖頭分厘卡 (B)球面分厘卡 (C)圓盤分厘卡(D)扁頭分厘卡 。
25. 游標高度規的精度可達 (A)0.02mm (B)0.04mm (C)0.06mm (D)0.08mm 。
26. 表面織構參數代號,表示算術平均粗糙度的符號是 (A)Ra (B)Rz (C)Rt (D)RMS 。
27. 量錶測軸之有效量程,規定至少要能使指針迴轉 (A)1 圈 (B)2 圈 (C)2.5 圈(D)5 圈 。
28. 表面織構參數代號,表示最大高度粗糙度的符號是 (A)Ra (B)Rz (C)Rp (D)RMS 。
29. 下圖分厘卡的讀數為
(A)6.20mm (B)6.70mm (C)7.20mm (D)8.20mm 。
30. 下圖箭頭所指處表示刻度對齊,分厘卡的讀數為
(A)6.702mm (B)6.722mm (C)7.202mm (D)7.222mm 。
31. 下圖箭頭所指處表示刻度對齊,游標卡尺的讀數為
(A)6.665mm (B)66.65mm (C)7.265mm (D)72.65mm 。
32. 下圖箭頭所指處表示刻度對齊,游標卡尺的讀數為
(A)6.332mm (B)63.32mm (C)6.832mm (D)68.32mm 。
33. 一般用來簡單迅速鑑定不明鋼質材料的實驗為 (A)拉伸試驗 (B)硬度試驗(C)超音波試驗 (D)火花試驗 。
34. 鋼材以砂輪機研磨,若火花為暗紅色,流線甚短且分裂的數量多,則可能為 (A)低碳鋼 (B)中碳鋼 (C)高碳鋼 (D)純鐵 。
35. 下列材料中導電性和導熱性最佳者為 (A)鋁 (B)鐵 (C)銅 (D)鋅 。
36. 一般銅製之軸承襯套,其材質大都為 (A)FC200 (B)BC3 (C)SUS304 (D)S45C 。
37. 下列何者為一般灰鑄鐵的材料編號? (A)FC200 (B)S20C (C)SCr430 (D)SUS304 。
38. 下列何者為中碳鋼的材料編號? (A)FCD400 (B)S45C (C)SNC415 (D)SK7 。
39. 鋼的表面硬化法,其熱處理方式可為 (A)正常化 (B)調質 (C)回火 (D)火焰淬火 。
40. 軸、齒輪、彈簧,為了增加耐磨耗性和疲勞限,通常可再施予 (A)表面硬化處理 (B)均質處理 (C)調質處理 (D)正常化 。
41. 常用卷尺上的最小刻度為 (A)0.5mm (B)1mm (C)5mm (D)10mm 。
42. 卡鉗一般與_________ 配合使用。(A)鋼尺 (B)卷尺 (C)游標卡尺 (D)分厘卡
43. 公制螺距規在每一片鋼片上所刻的數字是代表 (A)螺紋數 (B)螺距大小 (C)螺紋標稱直徑 (D)螺紋角大小 。
44. 一對模數為 2 之正齒輪,大齒輪 30 齒,小齒輪 10 齒,若外接時,其中心距為 (A)80mm (B)60mm (C)40mm (D)20mm 。
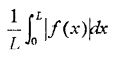
45. 下圖為測量長度 L 範圍內的表面粗糙度曲線 f(x),若以
之計算式所求得的表面粗糙度之值為
(A)Ra (B)Rz (C)Rmax (D)R.M.S. 。
46. 下圖工件的角度θ為
(A)cos
- 1
L/H (B)cos
- 1
H/L (C)sin
-1
L/H (D)sin
- 1
H/L 。
47. 測繪鑽床主軸孔時,其錐度為 (A)傑可布斯錐度(Jacok's) (B)莫氏錐度(Morse) (C)伯朗夏普錐度(Brown&Sharpe) (D)嘉諾錐度(Jarno) 。
48. 實物測繪時,相同線徑及外徑之壓縮彈簧,其圈數愈多,可判斷出 (A)彈簧係數(K)愈大 (B)彈簧係數(K)愈小 (C)彈性愈強 (D)無法分辨 。
49. 量表無法應用於量測 (A)真圓度 (B)平行度 (C)表面粗糙度 (D)平面度 。
50. 螺紋牙規之用途,為量測 (A)螺紋外徑 (B)螺紋節徑 (C)螺紋根徑 (D)螺紋螺距 。
申論題 (0)
相關試卷
115年 - 20800 電腦輔助機械設計製圖 乙級 工作項目 07:實物測繪 51-116(2026/01/07 更新)#136487
115年 · #136487
115年 - 20800 電腦輔助機械設計製圖 乙級 工作項目 06:3D模型圖 101-121(2026/01/07 更新)#136485
115年 · #136485
115年 - 20800 電腦輔助機械設計製圖 乙級 工作項目 06:3D模型圖 51-100(2026/01/07 更新)#136484
115年 · #136484
115年 - 20800 電腦輔助機械設計製圖 乙級 工作項目 06:3D模型圖 1-50(2026/01/07 更新)#136483
115年 · #136483
115年 - 20800 電腦輔助機械設計製圖 乙級 工作項目 05:工作圖 101-139(2026/01/07 更新)#136482
115年 · #136482
115年 - 20800 電腦輔助機械設計製圖 乙級 工作項目 05:工作圖 51-100(2026/01/07 更新)#136481
115年 · #136481
115年 - 20800 電腦輔助機械設計製圖 乙級 工作項目 05:工作圖 1-50(2026/01/07 更新)#136480
115年 · #136480
115年 - 20800 電腦輔助機械設計製圖 乙級 工作項目 04:機件元件 151-200(2026/01/07 更新)#136479
115年 · #136479
115年 - 20800 電腦輔助機械設計製圖 乙級 工作項目 04:機件元件 101-150(2026/01/07 更新)#136478
115年 · #136478
115年 - 20800 電腦輔助機械設計製圖 乙級 工作項目 04:機件元件 51-100(2026/01/07 更新)#136477
115年 · #136477