阿摩線上測驗
登入
首頁
>
技檢◆電腦軟體設計共同科目
> 115年 - 90004 電腦軟體設計共同科目 乙級 工作項目 06:程式語言 1-50(2026/01/14 更新)#136862
115年 - 90004 電腦軟體設計共同科目 乙級 工作項目 06:程式語言 1-50(2026/01/14 更新)#136862
科目:
技檢◆電腦軟體設計共同科目 |
年份:
115年 |
選擇題數:
50 |
申論題數:
0
試卷資訊
所屬科目:
技檢◆電腦軟體設計共同科目
選擇題 (50)
1. 下列何種程式語言不具有"case"多重選擇器(Multi-selector)? (A)C (B)PASCAL (C)BASIC (D)Java 。
2. 對編譯器(Compiler)及直譯器(Interpreter)區別的敘述,下列那一項是錯誤? (A)兩者皆為利用高階語言寫成的程式碼,其輸出皆為目的碼(ObjectCode) (B)直譯器的除錯特性較編譯器佳 (C)BASIC 屬於直譯語言 (D)PASCAL,COBOL,C++,C 屬於編譯語言 。
3. 對用高階語言與組合語言寫成程式的優缺點比較敘述,下列何者正確?(A)組合語言寫成的程式執行時間較長 (B)組合語言寫成的程式較易維護除錯 (C)組合語言寫成的程式發展時間較短 (D)組合語言寫成的程式可攜性較差 。
4. 對 Java 語言的描述,下列那一項為錯誤? (A)利用 Java 語言寫成的程式經由編譯處理器(Compiler)處理後產生的碼稱為位元碼(Byte Code) (B)位元碼(Byte Code)可在不同的機器平台上移植,待要執行時再由 Java 的直譯器(Interpreter)處理此碼即可 (C)Java 語言比 C 語言可攜性差 (D)Java 語言允許其程式段能夠透過網路系統到另一個機器平台上執行 。
5. 下列那一種程式語言屬於物件導向語言? (A)PROLOG (B)C (C)Java (D)COBOL 。
6. 有關 C 語言的敘述,下列何者錯誤? (A)C 語言函式的參數傳遞方式可以是傳值呼叫(Call by Value) (B)C 語言的函式中可以定義其他函式 (C)位址亦可傳入 C 語言函式中 (D)C 語言具有使用者自行定義資料型態的功能 。
7. 在 C 語言中,如果作下列宣告,則 Ary[3][2]之值為何?
(A)8 (B)5 (C)13(D)2 。
8. Java 在例外處理(Exception Handling)指令中,不需使用到下列那一個保留字? (A)break (B)catch (C)throw (D)try 。
9. 在 C++中,下列何者可用來支援物件導向設計之多型(Polymorphism)的觀念? (A)Virtual Function (B)Template Function (C)Multiple Inheritance(D)Exception Handling 。
10. C++提供那一種方法,可讓非成員函式存取私有(Private)成員? (A)inline(B)friend (C)overloading (D)self-reference 。
11. 下列程式語言名詞的敘述,那一項為錯誤? (A)Reserved Word 為具有特殊意義的字,但能由使用者重新定義 (B)Keyword 為具有特殊意義的字,使用者不可以重新定義 (C)懸置(Dangling)指標,係指標變數指到一個已經不存在的記憶體空間現象 (D)懸置標記引用,是指欲引用(Reference)一個已經離開其範圍(Scope)的標記(Label)便可稱之 。
12. 將布林資料型態轉換成相對應的 IF 敘述,下列那一項為錯誤? (A)XAND Y 的相對應敘述為 IF X THEN Y ELSE FALSE (B)X OR Y 相對應敘述為 IF X THEN FALSE ELSE Y (C)NOT X 相對應敘述為 IF X THENFALSE ELSE TRUE (D)X EXCLUSIVE OR Y 相對應敘述為 IF X THEN(NOT Y) ELSE Y 。
13. 在結構化設計中,有關 WHILE condition DO statement 和 REPEATstatement UNTIL condition 的敘述,下列那一項為正確? (A)WHILE 敘述至少執行一次 (B)REPEAT 敘述至少執行一次 (C)WHILE 敘述至多執行一次 (D)兩者完全相同 。
14. 有關結構化程式的重複(Repetition)結構的指令,以下那一個錯誤? (A)continue (B)for (C)while (D)do ... while 。
15. 對於 Java 語言優點的敘述,那一項正確? (A)為多緒處理(Multi-thread)程式 (B)具有 GO TO 指令 (C)可直接繼承 C++物件 (D)可直接控制硬體 。
16. 下列哪一項不屬於執行副程式時活動紀錄(Activation Record)中之組成元素? (A)返回點(Return Point) (B)全域變數(Global Variable) (C)區域資料(Local Data) (D)實際參數(Actual Parameter) 。
17. 對於低階語言相較於高階語言特性的描述,那一項是正確? (A)程式撰寫較複雜 (B)指令較簡短 (C)無法完成高階語言的功能 (D)目的碼儲存空間較少 。
18. 依據下列仿 Pascal 之程式語法結構,若以 Pass- by-value-result 方式進行參數傳遞,程式在執行後,下列之結果何者是正確的?
(A)3 1 (B)11 (C)2 2 (D)2 1 。
19. 下列那一種程式語言有例外處理(Exception Handling)的能力? (A)BASIC(B)FORTRAN (C)Ada (D)C 。
20. 運算式 2*5-4-3*2 之計算結果,那一項正確? (A)若乘法之優先順序低於減法,所有運算子採 Right-associative,則計算結果為-8 (B)若乘法之優先順序低於減法,所有運算子採 Left-associative,則計算結果為-8 (C)若乘法之優先順序與減法相同,所有運算子採 Right-associative,則計算結果為 8 (D)若乘法之優先順序與減法相同,所有運算子採 Left-associative,則計算結果為 14 。
21. 下面的文法可以產生那一種字串(String)?
(A)$$$$aabb (B)$aabbbb (C)$$$$ab (D)aaabbbb 。
22. 下面的文法可以產生那一種字串(String)? (A)abba (B)ab0ab (C)aaba0abaa(D)aaba0aabaa 。<W>::=0|a<W>a|b<W>b
23. 下列那一種程式語言,在使用一個未經宣告的整數變數時,不會造成編譯錯誤? (A)C++ (B)COBOL (C)FORTRAN (D)PASCAL 。
24. 下列有關 Java 例外處理(Exception Handling)之敘述,何者正確? (A)例外是一種特殊之類別 (B)例外採用動態的有效範圍(Dynamic Scoping) (C)例外的傳遞依照程序引用(Procedure Call)先後順序 (D)程式設計師不可以自行設計新的例外 。
25. 下列那一種程式語言支援物件導向中之多重類別繼承(Multiple ClassInheritance)? (A)C++ (B)Java (C)PASCAL (D)Smalltalk 。
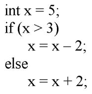
26. 下列有關物件導向的多型(Polymorphism)觀念,何者是不正確? (A)多型(Polymorphism)指同一訊息(Message)在不同 class 中有不同對應的Methods (B)動態多型(Dynamic Polymorphism)與繼承(Inheritance)是兩個不相關的概念 (C)C++語言利用 Overloading 達到靜態多型(StaticPolymorphism)的功能 (D)C++語言利用 Virtual Function 達到動態多型的功能 。
27. 有關物件導向語言多型的敘述,下列何者正確? (A)C++動態多型機制必須使用 Virtual Function (B)Java 多型機制必須使用 Static Binding 達成 (C)C 需要使用 Early Binding 達成多型 (D)Java 多型機制必須使用 abstract 類別 。
28. 有關物件導向程式設計(Object-oriented Programming)之敘述,下列何者錯誤? (A)使用物件時需知道物件的資料結構 (B)物件可以被不同程式使用 (C)物件導向程式設計也是一種結構化設計 (D)物件含資料與方法 。
29. 物件導向語言的主要特性,下列何者錯誤? (A)抽象資料型態(AbstractData Type) (B)繼承(Inheritance) (C)動態繫合(Dynamic Binding) (D)動態範圍(Dynamic Scoping) 。
30. 下列有關物件導向觀念之描述,何者是不正確? (A)繼承(Inheritance)是類別間之關係,在此關係中某類別之資料結構與行為可供其關係中之類別分享 (B)類別(Class)指的是具有相同結構及行為的物件所組成的集合(C)多型(Polymorphism)指的是一個物件會有很多個不同的操作,以及眾多的屬性 (D)將資料及操作此資料的所有方法包裝成一個物件,稱之為「封裝(Encapsulation)」 。
31. 有關物件導向語言特性的描述,以下何者正確? (A)多型(Polymorphism)是將屬性與操作屬性的功能或方法包含於物 件中 (B)資訊隱藏(Information Hiding)是將物件私有的資料隱藏起來,只提供公開的存取操作介面 (C)多型是一個物件的不同方法必須有相同實作(Implementation)方式 (D)繼承(Inheritance)是一個物件必須實做(Implement)許多不同介面 。
32. 下列那一類程式語言最能夠支援抽象資料形態(Abstract Data Types)﹖(A)指令式(Imperative) (B)函數式(Functional) (C)宣告式(Declarative) (D)物件導向(Object-oriented) 。
33. 關於物件導向語言的 Abstract Class 敘述,以下何者正確? (A)可以產生物件 (B)只能有一個 Virtual Function/Abstract Method (C)只有一個覆寫(Overridden)的 Function/Method (D)可以有 Instance 變數 。
34. 在 C 語言中,下列宣告何者是錯誤的? (A)char*suit[4]={"spades","hearts","diamonds","clubs"}; (B)char str[]={"pointersare fun"}; (C)char *str={"pointers are fun"}; (D)char(*suit)[4]={"spades","hearts","diamonds","clubs"}; 。
35. 在 C 程式中,定義一個 struct 如下,若要將 Part 定義為 part 的別名,下列敘述何者正確?
(A)define Part part (B)typedef struct part Part; (C)typedef struct Part part; (D)typedef part Part; 。
36. 在 C 程式中對於 union 的使用,下列敘述何者錯誤? (A)一個結構(Structure)中,若有兩個以上的欄位不會同時使用時,可以使用 union (B)使用 union 時,以其各個欄位中所需記憶空間最小者,來配置記憶空間(C)使用 union 可以節省記憶空間 (D)使用 union 時,其各個欄位不需要具有相同的資料型態 。
37. 在執行完下列 C 程式後,其輸出結果何者正確?
(A)8 20 22 10 22 19 (B)820 22 19 22 10 (C)8 20 22 19 22 19 (D)8 20 22 10 22 10 。
38. 關於物件導向語言覆寫(Overriding) Function/Method 的敘述,以下何者正確? (A)基礎類別和導出類別的 Function/Method 同名,但有不同的可視性修飾子(Visibility Modifiers) (B)基礎類別和導出類別的Function/Method 同名,也有相同數量和型態的參數 (C)基礎類別和導出類別的 Function/Method 同名,有不同的回傳值資料型態 (D)基礎類別和導出類別 Function/Method 有不同數量和型態的參數 。
39. 一個物件導向語言類別 B 繼承類別 A,並且 B 實做一個類別 A 的Function/Method,如此是以下那一種動作? (A)Overload (B)Override (C)Copy (D)Call 。
40. 物件導向程式中,只能使用在類別的 Function/method 中的資料項目是以下那一個? (A)區域(Local)變數 (B)全域(Global)變數 (C)私有(Private)變數(D)實體(Instance)變數 。
41. 一般而言,物件導向語言實體(Instance)變數最好都宣告成以下那一種類? (A)public (B)protected (C)private (D)static 。
42. 對於物件導向語言建構子的敘述,以下何者正確? (A)可以使用變數命名規則命名 (B)一個類別只能有一個建構子 (C)名稱要跟類別名稱一致 (D)使用時一定要配合 new 指令 。
43. 有關物件導向語言繼承的敘述,以下何者正確? (A)C++有多重介面繼承(B)Java 有多重類別繼承 (C)C 只有單一類別繼承 (D)Java 有多重介面繼承 。
44. 有一仿 C++物件導向語言 Function 為 protected: double methodX(int x){...};它可以被以下那一個覆寫(Override)?(A)private: double methodX(int x) {...};(B)protected: int methodX(double x) {...};(C)public: double methodX(double x) {...};(D)public: double methodX(int x) {...}; 。
45. 以下仿 C 程式已知 a=1,b=1;則
輸出為 (A)0,1(B)0,0 (C)1,0 (D)1,1 。
46. 有一仿 C 程式如下,當執行完 a=2,b=3 迴圈時,下述何者正確?
(A)t=1(B)c=1 (C)t=3 (D)c=2 。
47. 若變數已正確宣告,下列程式指令何者有誤? (A)a+x=x; (B)a=a+x; (C)c=a%b; (D)z=z/y; 。
48. 有一仿 C 程式執行片段如下,當程式執行後,c 值為何?
(A)70 (B)75 (C)80 (D)85 。
【已刪除】49. (本題刪題)若一仿 C 程式如下,當程式執行結果為何?
(A)1234 (B)123 (C)432 (D)4321 。
50. 若一仿 C 程式如下,若輸入 n 值為 3,當程式執行結束結果為何?
(A)12(B)3 (C)6 (D)程式無法停止 。
申論題 (0)
相關試卷
115年 - 90004 電腦軟體設計共同科目 乙級 工作項目 07:資料結構 201-260(2026/01/14 更新)#136868
115年 · #136868
115年 - 90004 電腦軟體設計共同科目 乙級 工作項目 07:資料結構 151-200(2026/01/14 更新)#136867
115年 · #136867
115年 - 90004 電腦軟體設計共同科目 乙級 工作項目 07:資料結構 101-150(2026/01/14 更新)#136866
115年 · #136866
115年 - 90004 電腦軟體設計共同科目 乙級 工作項目 07:資料結構 51-100(2026/01/14 更新)#136865
115年 · #136865
115年 - 90004 電腦軟體設計共同科目 乙級 工作項目 07:資料結構 1-50(2026/01/14 更新)#136864
115年 · #136864
115年 - 90004 電腦軟體設計共同科目 乙級 工作項目 06:程式語言 51-109(2026/01/14 更新)#136863
115年 · #136863
115年 - 90004 電腦軟體設計共同科目 乙級 工作項目 05:資料庫 51-80(2026/01/14 更新)#136861
115年 · #136861
115年 - 90004 電腦軟體設計共同科目 乙級 工作項目 05:資料庫 1-50(2026/01/14 更新)#136860
115年 · #136860
115年 - 90004 電腦軟體設計共同科目 乙級 工作項目 03:資訊安全 1-19(2026/01/14 更新)#136859
115年 · #136859
115年 - 90004 電腦軟體設計共同科目 乙級 工作項目 02:系統發展 101-140(2026/01/14 更新)#136858
115年 · #136858