所屬科目:技檢◆電腦軟體設計共同科目
(A)0(B)1 (C)2 (D)3 。
(A)共發生一次碰撞(Collision) (B)共發生二次碰撞(Collision) (C)共發生三次碰撞(Collision) (D)共發生四次碰撞(Collision) 。
(A)位址 3 中存放 12 (B)位址 4 中存放 27 (C)位址 5 中存放 33 (D)位址 6 中存放 19 。
(A)位址 3 中存放 25 (B)位址 4 中存放 33 (C)位址 5 中存放 18 (D)位址 6 中存放 40 。
(A)ABABABAB (B)AAAABBBB (C)ABABAABB (D)AABBAABB 。
(A)108 (B)119 (C)125 (D)147 。
(A)15 (B)16 (C)17 (D)18 。
(A)27 (B)29 (C)31 (D)33 。
(A)while(N<>0)return N+Sum(N+1) (B)return(N-1)+Sum(N-1) (C)return N+Sum(N-1) (D)return(N-1)+Sum(N) 。
(A)將 A 的前 N 個資料排成由小至大順序 (B)將 A 的前N 個資料排成由大至小順序 (C)將 A 的前 N 個資料依相反順序排列 (D)將A 的第一個資料與第 N 個資料內容互換 。
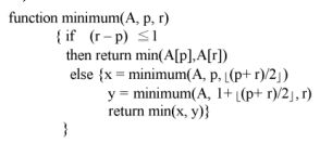
(A)minimum 是一個動態規劃(Dynamic Programming)演算法 (B)minimum 是一個貪婪演算法(Greedy Algorithm) (C)minimum 是一個各個擊破(Divide-and-Conquer)演算法 (D)minimum 所需時間複雜度為 O (logn) 。
(A)ABCDEABCDE (B)ABBEEDDCCA (C)ABBCCDDEEA (D)ABBCDEEDCA 。
(A)4 (B)5 (C)6 (D)7 。