所屬科目:技檢◆電腦軟體設計共同科目
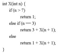
(A)12(B)4 (C)5 (D)程式無法停止 。
(A)12 (B)4 (C)5 (D)程式無法停止 。
(A)5,10 (B)0,0 (C)6,12 (D)10,0 。
(A)0,0 (B)32,26 (C)30,26 (D)16,22 。
(A)3 (B)6 (C)10 (D)15 。
(A)(I)的程式片段為 c=a+b (B)(II)的程式片段為 a=b+c (C)(I)的程式片段為 a= b+c (D)(II)的程式片段為 b=a+c 。
(A)2 (B)3(C)5 (D)8 。
(A)5 (B)8(C)13 (D)21 。
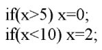
(A)if((x>5)&&(x<10))x=2; (B)if((x>5)||(x<10))x=0; (C)if(x<10)x=2 else if(x<5)x=0; (D)if(x<10)x=2 else if(x>5)x=0; 。
(A)+=*,-(B)+,=,*,- (C)-,*,+= (D)*,+-,= 。
(A)a, a (B)r, r (C)a, r (D)r, a 。
(A)&a, a (B)r, &r (C)a, &r (D)&r, a 。
(A)xyzy (B)xyzx (C)yzy (D)yx 。
(A)babed (B)cabed (C)abcde(D)dabed 。
(A)13 (B)03 (C)04 (D)14 。
(A)字串 aaabbbb 可由此文法規則產生 (B)字串 bbbaabb 可由此文法規則產生 (C)字串 bbbabb 可由此文法規則產生 (D)字串 aaaba 可由此文法規則產生 。
(A)list[1]=2 (B)list[2]=3 (C)list[3]=4 (D)list[4]=5 。