阿摩線上測驗
登入
首頁
>
技檢◆電腦軟體設計共同科目
>
115年 - 90004 電腦軟體設計共同科目 乙級 工作項目 06:程式語言 51-109(2026/01/14 更新)#136863
> 試題詳解
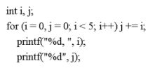
53. 針對以下仿 C 程式,程式執行結果為何?
(A)5,10
(B)0,0
(C)6,12
(D)10,0 。
答案:
登入後查看
統計:
尚無統計資料
相關試題
51. 若一仿 C 程式如下,當 n 值輸入為 4 時,程式執行回傳結果為何? (A)12(B)4 (C)5 (D)程式無法停止 。
#3799481
52. 若一仿 C 程式如下,當 n 值輸入為 3 時,程式執行回傳結果為何? (A)12 (B)4 (C)5 (D)程式無法停止 。
#3799482
54. 針對以下仿 C 程式,程式執行結果為何? (A)0,0 (B)32,26 (C)30,26 (D)16,22 。
#3799484
55. 針對以下仿 C 程式,程式執行結果為何? (A)3 (B)6 (C)10 (D)15 。
#3799485
56. 針對程式語言陣列的描述,下述何者正確? (A)程式設計師必須使用指標技術設計 (B)陣列索引一定從 1 開始 (C)必須儲存相同資料型態 (D)可以任意改變陣列空間長度 。
#3799486
57. 有關編譯器(Compiler)與直譯器(Interpreter)之比較,下列何者敘述有誤? (A)直譯器所建立之符號表(Symbol Table)是儲存符號的位址(Address) (B)依執行速度比較,以直譯器方式執行軟體程式與以編譯器方式執行軟體程式,通常後者較快 (C)直譯器在每次執行軟體程式時,都必須進行語彙(Lexical)與語法(Syntax)之分析 (D)編譯器會將原始碼(SourceCode)翻譯成目的碼(Object Code),直譯器則不產生目的碼 。
#3799487
58. 有關程式之錯誤,依其發生之時間先後下列次序排列何者正確? (A)Runtime Error > Syntax Error > Linking Error (B)Syntax Error >Linking Error > Runtime Error (C)Runtime Error > Linking Error >Syntax Error (D)Linking Error > Runtime Error > Syntax Error 。
#3799488
59. 下列那一種程式語言採用 new 方式以建立陣列? (A)C (B)Fortran (C)Java(D)BASIC 。
#3799489
60. 下列仿 C 程式片段為計算費氏級數(Fibonacci Number),其中三行程式尚未完成,下列何者敘述為正確? (A)(I)的程式片段為 c=a+b (B)(II)的程式片段為 a=b+c (C)(I)的程式片段為 a= b+c (D)(II)的程式片段為 b=a+c 。
#3799490
61. 下列仿 C 程式片段,若 n=5,程式執行後回傳(Return)值為何? (A)2 (B)3(C)5 (D)8 。
#3799491
相關試卷
115年 - 90004 電腦軟體設計共同科目 乙級 工作項目 07:資料結構 201-260(2026/01/14 更新)#136868
2026 年 · #136868
115年 - 90004 電腦軟體設計共同科目 乙級 工作項目 07:資料結構 151-200(2026/01/14 更新)#136867
2026 年 · #136867
115年 - 90004 電腦軟體設計共同科目 乙級 工作項目 07:資料結構 101-150(2026/01/14 更新)#136866
2026 年 · #136866
115年 - 90004 電腦軟體設計共同科目 乙級 工作項目 07:資料結構 51-100(2026/01/14 更新)#136865
2026 年 · #136865
115年 - 90004 電腦軟體設計共同科目 乙級 工作項目 07:資料結構 1-50(2026/01/14 更新)#136864
2026 年 · #136864
115年 - 90004 電腦軟體設計共同科目 乙級 工作項目 06:程式語言 51-109(2026/01/14 更新)#136863
2026 年 · #136863
115年 - 90004 電腦軟體設計共同科目 乙級 工作項目 06:程式語言 1-50(2026/01/14 更新)#136862
2026 年 · #136862
115年 - 90004 電腦軟體設計共同科目 乙級 工作項目 05:資料庫 51-80(2026/01/14 更新)#136861
2026 年 · #136861
115年 - 90004 電腦軟體設計共同科目 乙級 工作項目 05:資料庫 1-50(2026/01/14 更新)#136860
2026 年 · #136860
115年 - 90004 電腦軟體設計共同科目 乙級 工作項目 03:資訊安全 1-19(2026/01/14 更新)#136859
2026 年 · #136859