阿摩線上測驗 登入

試題詳解

試卷:115年 - 90004 電腦軟體設計共同科目 乙級 工作項目 07:資料結構 101-150(2026/01/14 更新)#136866 | 科目:技檢◆電腦軟體設計共同科目

試卷資訊

試卷名稱:115年 - 90004 電腦軟體設計共同科目 乙級 工作項目 07:資料結構 101-150(2026/01/14 更新)#136866

年份:115年

科目:技檢◆電腦軟體設計共同科目

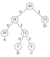
140. 下圖為符號 A、B、C、D 之 Huffman Tree,若壓縮碼為00000111010,經還原成明碼後,所產生之明碼符號個數共有幾個?


(A)4
(B)5
(C)6
(D)7 。

正確答案:登入後查看