所屬科目:中油◆理化
1.若 1+i = r (cosθ+i sinθ), r>0, 0 ≤θ<2π, 則θ=? (A)(B)(C)(D)
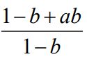
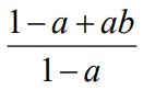
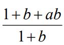
3.若 log23 = a , log311 =b , 則 log666 =? (A)(B)(C)(D)
5.某私人停車場,以時間 t 小時 (車子停放總時數)計費,費用 f (t)計算式如下: 為大於1的正整數 若停車 3 小時 15 分鐘,則必須付多少錢? (A) 150 (B) 250 (C) 350 (D) 450
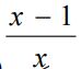
8.若> x , 則 x 之範圍為何? (A) x< 0 (B) x >0 (C) x >1 (D) x >3
9.若數列{an}的前 n 項之和 sn = log3(n+1), 則 a5 =? (A) log56 (B) log36 (C) log35 (D) log3
14.若不計厚度,則一張報紙連續對折 7 次,其面積為原來面積的多少倍? (A)(B)(C)(D)
15. 共有幾個解? (A) 0 (B) 1 (C) 2 (D) 3
18.下列四張圖表示光線以相同的入射角從四種不同介質射入玻璃時的折射情況,請問光在甲、乙、 丙、丁哪一種介質中的傳播速率最大?(A) 甲 (B) 乙 (C) 丙 (D) 丁
25.人耳所能聽到聲音的最小強度約為 10-12瓦特/公尺2 ,定為 0 分貝,而 100 分貝所對應的聲音強度約為 10-2瓦特/公尺2 。據此判斷,80 分貝的聲音強度約為 50 分貝聲音強度的多少倍? (A) (B) 3 (C) 30 (D) 1000