阿摩線上測驗
登入
首頁
>
化學反應工程學
> 95年 - 95 專技高考_化學工程技師:化學反應工程(亦稱化工動力學)#37170
95年 - 95 專技高考_化學工程技師:化學反應工程(亦稱化工動力學)#37170
科目:
化學反應工程學 |
年份:
95年 |
選擇題數:
0 |
申論題數:
8
試卷資訊
所屬科目:
化學反應工程學
選擇題 (0)
申論題 (8)
【已刪除】一、假設氫與溴反應 H
2
+Br
2
⇔2 HBr 遵循下列自由基反應機制(reaction mechanism), 試推導其反應速率方程式。(20 分)
⑴採用二個 2.5 升 CSTR 串聯。
⑵採用單一個 5 升 CSTR。
⑶採用一個 2.5 升 CSTR 後串聯一個 2.5 升 PFR。
⑷採用單一個 5 升 PFR。
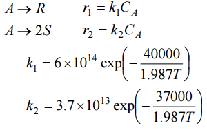
【已刪除】三、假設一組平行反應在一混合式反應器(continuously stirred tank reactor,CSTR)中 進行,若欲得到產物中 R 與 S 莫耳比為 2:1,則反應溫度為何?(20 分)
(T 單位為 K)
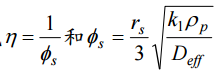
【已刪除】四、在球型觸媒顆粒(其半徑為 rs), 某一級反應的有效因子(effectiveness factor)及 Thiele Modulus 可寫成
,試證明在特定的溫度與轉化率下, 其反應速率(reaction rate)與單位體積觸媒的外表面積(external surface area of per unit volume of catalyst particle)成正比關係。(20 分)
【已刪除】五、一漿態反應器(slurry reactor)用於棉花子油的氫化,整體反應操作已知為氫氣吸收 質傳控制(mass-transfer controlled)。經由經驗式推估或實驗量測獲得下列參數值 :
假設質傳過程的質傳速率方程式可寫成:
由於化學反應快速,氫氣在觸媒表面濃度(C
s
)很低。試計算本反應器中氫氣消耗速 率(rate of hydrogen consumption)。(20 分)
相關試卷
114年 - 114 專技高考_化學工程技師:化學反應工程(亦稱化工動力學)#133683
114年 · #133683
114年 - 114 公務升官等考試_薦任_化學工程:化學反應工程學#133272
114年 · #133272
113年 - 113 專技高考_化學工程技師:化學反應工程(亦稱化工動力學)#123888
113年 · #123888
112年 - 112 地方政府特種考試_三等_化學工程:化學反應工程學#118337
112年 · #118337
112年 - 112 專技高考_化學工程技師:化學反應工程(亦稱化工動力學)#117641
112年 · #117641
112年 - 112 公務升官等考試_薦任_化學工程:化學反應工程學#117353
112年 · #117353
112年 - 112 高等考試_三級_化學工程:化學反應工程學#115757
112年 · #115757
111年 - 111 專技高考_化學工程技師:化學反應工程(亦稱化工動力學)#111956
111年 · #111956
111年 - 111 高等考試_二級_化學工程:高等化學反應工程學#111040
111年 · #111040
111年 - 111 高等考試_三級_化學工程:化學反應工程學#109726
111年 · #109726