阿摩線上測驗
登入
首頁
>
作業研究
> 95年 - 95 專技高考_工業工程技師:作業研究#33090
95年 - 95 專技高考_工業工程技師:作業研究#33090
科目:
作業研究 |
年份:
95年 |
選擇題數:
0 |
申論題數:
10
試卷資訊
所屬科目:
作業研究
選擇題 (0)
申論題 (10)
⑴請求出系統內平均顧客人數 L
s
,及等候線上平均人數 L
q
。(10 分)
⑵請求出系統內平均每位顧客等候時間 W
s
,及等候線上每位顧客等候時間 W
q
。 (10 分)
⑴請列出對手 A 之線性規劃問題。(5 分)
⑵請列出對手 B 之線性規劃問題。(5 分)
⑶請問上述兩個線性規劃問題之間具有何種關係。(10 分)
⑴請繪製出本問題之專案網路圖。(10 分)
⑵請列出其線性規劃模式,協助求出專案時間最短之各活動項目開始時間。(10 分)
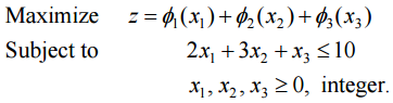
【已刪除】四、茲考慮下列一個整數規劃問題。
其中 φ
j
(x
j
) 的函數值如下表所示。
請利用動態規劃方法求出該問題之最佳 x
1
, x
2
, x
3
值及目標式 z 值。(20 分)
⑴請利用佛格約估法(Vogel’s Approximation)求出起始解,列出基本變數值及目 標函數值。(10 分)
⑵繼續利用運輸單形法求出最佳解,列出基本變數值及目標函數值。(10 分)
相關試卷
114年 - 114 地方政府公務特種考試_三等_工業工程:作業研究#134713
114年 · #134713
114年 - 114 專技高考_工業工程技師:作業研究#133680
114年 · #133680
114年 - 114 高等考試_三級_工業工程:作業研究#128750
114年 · #128750
113年 - 113 地方政府公務特種考試_三等_工業工程:作業研究#124521
113年 · #124521
113年 - 113 專技高考_工業工程技師:作業研究#123885
113年 · #123885
113年 - 113 高等考試_三級_工業工程:作業研究#121489
113年 · #121489
112年 - 112 地方政府特種考試_三等_工業工程:作業研究#118325
112年 · #118325
112年 - 112 專技高考_工業工程技師:作業研究#117594
112年 · #117594
112年 - 112 公務升官等考試_薦任_工業工程:作業研究#117328
112年 · #117328
112年 - 112 高等考試_三級_工業工程:作業研究#115450
112年 · #115450