阿摩線上測驗
登入
首頁
>
流體力學與水文學
> 95年 - 95 專技高考_環境工程技師:流體力學與水文學#38927
95年 - 95 專技高考_環境工程技師:流體力學與水文學#38927
科目:
流體力學與水文學 |
年份:
95年 |
選擇題數:
0 |
申論題數:
12
試卷資訊
所屬科目:
流體力學與水文學
選擇題 (0)
申論題 (12)
⑴水流型式,
⑵流體性質
,⑶水力坡降線與水位關係,
⑷無因次參數(如福祿數、 雷諾數等)之引用。(每小題 5 分,共 20 分)
【已刪除】二、若水流對管渠沉積物之平均拖曳力(tractive force)強度τ 可以表為 τ = β (γ
s
− γ
w
) D
g
, 式中β 為一係數, γ
s
與 γ
w
分別為沉積物與水之單位重,D
g
為沉積物顆粒(假設為 圓球)之直徑。試推導出 Camp 氏之沖刷單一粒徑沉積物所需之沖刷流速公式:
式中,f 為摩阻係數,g 為重力加速度, S
s
為顆粒比重。(20 分)
三、假定有一抽水站位於標高 500 m 處,其所用抽水機需要維持 NPSH
reqd
30 kPa,水溫 為 30°C,若抽水系統之摩擦水頭損失及進水損失等共為 15 kPa,試求其允許之吸水 高度為多少公尺?(註:大氣壓力與標高之關係為-1.2m/1000m。水溫 26.7℃與 32.2℃之水蒸汽壓分別為 3.50kPa 與 4.81kPa)(20 分)
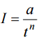
【已刪除】⑴
,
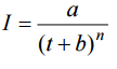
【已刪除】⑵
【已刪除】⑶
式中,I 為雨量強度(mm/hr),t 為延時(min)。(20 分)
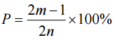
【已刪除】⑴
,
【已刪除】⑵
,
【已刪除】,⑶
相關試卷
114年 - 114 專技高考_環境工程技師:流體力學與水文學#133719
114年 · #133719
113年 - 113 專技高考_環境工程技師:流體力學與水文學#123920
113年 · #123920
112年 - 112 專技高考_環境工程技師:流體力學與水文學#117659
112年 · #117659
111年 - 111 專技高考_環境工程技師:流體力學與水文學#111924
111年 · #111924
110年 - 110 專技高考_環境工程技師:流體力學與水文學#104182
110年 · #104182
109年 - 109 專技高考_環境工程技師:流體力學與水文學#93205
109年 · #93205
108年 - 108 專技高考_環境工程技師:流體力學與水文學#80810
108年 · #80810
107年 - 107 專技高考_環境工程技師:流體力學與水文學#72893
107年 · #72893
106年 - 106 專技高考_環境工程技師:流體力學與水文學#66445
106年 · #66445
105年 - 105 專技高考_環境工程技師:流體力學與水文學#78789
105年 · #78789