阿摩線上測驗
登入
首頁
>
工程數學(應用數學, 線性代數、微分方程、複變函數與機率)
> 95年 - 95 警察特種考試_二等_刑事鑑識人員刑事物理組:工程數學#37929
95年 - 95 警察特種考試_二等_刑事鑑識人員刑事物理組:工程數學#37929
科目:
工程數學(應用數學, 線性代數、微分方程、複變函數與機率) |
年份:
95年 |
選擇題數:
0 |
申論題數:
7
試卷資訊
所屬科目:
工程數學(應用數學, 線性代數、微分方程、複變函數與機率)
選擇題 (0)
申論題 (7)
一、計算下列微分方程組的一般解x(t), y(t):(20 分)
dx/dt = −2x + 2y +11e
t
;dy/dt = −15x + 9y + 59e
t
【已刪除】二、⑴計算下列環周積分:
,積分的路徑環 繞一圓 x
2
+ y
2
=4 。(10 分)
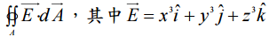
【已刪除】⑵計算下列通量積分:
,積分的表面 A為以原點為 球心,半徑為R的球面。(10 分)
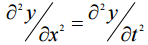
【已刪除】三、⑴計算下列偏微分方程式的一般解 y(x,t):
,0 < x < π , 0 < t < ∞
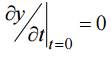
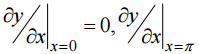
邊界條件為:
, 0 ≤ t < ∞(10 分)
【已刪除】⑵若初始條件為:y(x,0) = cos
2
x ,
;0 ≤ x ≤ π ,計算其特別解。(10 分)
【已刪除】四、計算下列積分:
?(20 分)
【已刪除】五、計算下列微分方程式的解:
其中δ (t ) 為 Dirac delta 函數。(20 分)
相關試卷
114年 - 114 專技高考_電機工程技師:工程數學(包括線性代數、微分方程、複變函數與機率)#133679
114年 · #133679
114年 - 114 專技高考_電子工程技師:工程數學(包括線性代數、微分方程、向量分析、複變函數與機率)#133677
114年 · #133677
114年 - 114 調查特種考試_三等_電子科學組:工程數學#129578
114年 · #129578
114年 - 114 國家安全情報特種考試_三等_電子組(選試英文):工程數學#127780
114年 · #127780
113年 - 113 專技高考_電子工程技師:工程數學(包括線性代數、微分方程、向量分析、複變函數與機率)#123976
113年 · #123976
113年 - 113 專技高考_電機工程技師:工程數學(包括線性代數、微分方程、複變函數與機率)#123971
113年 · #123971
113年 - 113 調查特種考試_三等_電子科學組:工程數學#122110
113年 · #122110
113年 - 113 身心障礙特種考試_三等_電力工程:工程數學#119517
113年 · #119517
112年 - 112 地方政府特種考試_三等_電力工程、電子工程:工程數學#118376
112年 · #118376
112年 - 112 專技高考_電機工程技師:工程數學(包括線性代數、微分方程、複變函數與機率)#117639
112年 · #117639