阿摩線上測驗
登入
首頁
>
統測◆(一)電子學、基本電學
> 96年 - 96 二技統測_電機類、電子類_專業科目(一):電子學與電路學#19066
96年 - 96 二技統測_電機類、電子類_專業科目(一):電子學與電路學#19066
科目:
統測◆(一)電子學、基本電學 |
年份:
96年 |
選擇題數:
40 |
申論題數:
0
試卷資訊
所屬科目:
統測◆(一)電子學、基本電學
選擇題 (40)
1. 下列有關半導體特性的敘述,何者正確?(A) 純質(intrinsic)半導體內,自由電子與電洞的濃度不同 (B) n型半導體的導電度主要是由摻入(doping)的原子濃度與電子的移動率(mobility)所決定 (C) p型與n型半導體的接面特性與定值電阻相同 (D) 在純質矽(silicon)晶片內摻入磷(phosphorus)後可產生p型半導體
2. 下列有關一般二極體特性的敘述,何者有誤?(A) 在順向偏壓區工作時,電流會隨著順向電壓的增加而呈指數性的上升 (B) 在反向偏壓區工作時,反向電流約為很小的定值 (C) 在崩潰區工作時,些許的反向電壓增加會使反向電流迅速增加 (D) p-n接面的電容值會隨反向偏壓之絕對值的增加而變大
複選題
3. 下列有關雙極性接面電晶體(BJT)特性的敘述,何者有誤?(A) BJT是三端元件,有三種工作模式 (B) npn型BJT的反應速度比pnp型BJT慢 (C) BJT在主動區(active region)工作時,可用於小信號放大 (D) BJT可當作數位開關使用
4. 類比開關(analog switch)的功能是控制類比信號通過或不通過,下列那種半導體元件不適合作為類比開關使用?(A) 二極體 (B) n通道金氧半場效電晶體(NMOS FET) (C) p通道金氧半場效電晶體(PMOS FET) (D) 互補型金氧半場效電晶體(CMOS FET)
5. 與BJT邏輯電路相比較,下列有關CMOS邏輯電路的特性,何者有誤?(A) 功率損耗較低 (B) 輸入電阻較高 (C) 元件密度較低 (D) 雜訊邊距較大
6. 如圖(一)所示的電路中,二極體D1和D2的導通電壓均為0.7 V。若V1為-10,則V0為
(A) -9.3 V (B) -8.3 V (C) -5.3 V (D) 1.7 V
7. 如圖(二)所示的電路中,二極體的導通電壓為0.7V。若輸入電壓V1為 ±5 的方波,則輸出方波V0的兩個電位分別為
(A) 0.7 V和10.7 V (B) -0.7 V和10 V (C) -0.7 V和9.3 V (D) -5 V和5 V
8. 試問集極偏壓電流I
C
值約為多少?(A) 53mA (B) 63 mA (C) 70mA (D) 80mA
9. 承第8顯,假設電晶體的集極輸出電阻r0可忽略不計,熱電壓(thermal voltage)為25mV。試問小信號電壓增益
約為多少?(A) 101 (B) 50 (C) 10 (D) 1
10. 圖(四)所示的n通道增強型金氧半場效電晶體(enhancement NMOSFET),其臨界電壓(threshold voltage)Vt=2V。已知其在飽和區工作時(假設通道長度調變效應可以忽絡),4伏特的閘 - 源電壓會產生4毫安培的汲極(drain)電流。試問此電路中的汲極電流ID值為多少毫安培(mA)?
(A) 3 (B) 2 (C) 1 (D) 0
11. 圖(五)所示的共源極放大器的偏變電路設計中,下列敘述者有誤?(A) R
G1
和R
G2
用於設定閘極偏壓 (B) R
s
可穩定溫度對汲極電流的影響 (C) R
D
的功用是將電流轉換成電壓變動並設定汲極電壓 (D) 最適合FET作小信號放大的工作區為非飽和區
12. 圖(五)所示的共源極放大器中,FET的特性與圖(四)的FET相同。假設FET的飽和區之動態輸出電阻r0可忽略不計。若R
D
=R
L
=10kΩ,R
G1
=17MΩ,R
G2
=7MΩ,R
S
=4kΩ,R
a
=1kΩ,V
DD
=24V,C
S
=3.6μF,C
G
=4nF,C
D
=1μF,則低3分貝頻率(lower 3-dB frequency),約為何值?
(A) 100Hz (B) 300Hz (C) 500Hz (D) 1000Hz
13. 圖(六)所示的電路中,VDD=5V,Qn與Qp的臨界電壓分別為2V和-2V。若Vi為0V,則V0為何值?
(A) 2V (B) 5V (C) -2V (D) 0V
14. 若R
C
=2kΩ,電流源I0=mA,則差動增益Ad=(Vo1 - Vo2) / (V1 - V2)約為何值?(A) -60 (B) -70 (C) -80 (D) 50
15. 承14題,若V
CC
=V
EE
=10V,則輸入電壓V1 (或V2) 的最大值不得超過多少?(A) 8.4V (B) 9V (C) 9.5V (D) 10V
16.圖(八)所示的理想運算放大器電路中,若電流增益iL/iI=10,則R值應為多少千歐姆(kΩ)?
(A) 1/9 (B) 2/9 (C) 5/9 (D)10/9
17.有關以電阻決定回饋係數之負回饋(negative feedback)放大器的穩定問題,下列敘述何者有誤?(A) 單極點放大器所構成的回饋放大器必然穩定 (B) 雙極點放大器所構成的回饋放大器必然穩定 (C) 三極點放大器所構成的回饋放大器必然穩定 (D) 若使迴路增益的相位響應為-180°的頻率不存在的話,則回饋放大器必然穩定
18. 圖(九)所示的電路中(忽略偏壓部分),下列敘述何者正確?
(A) 反相放大器加入並聯(shunt)回饋,導致正回饋 (B) 反相放大器加入並聯回饋,導致負回饋 (C) 正相放大器加入串聯(series)回饋,導致正回饋 (D) 正相放大器加入串聯回饋,導致負回饋
19. 若忽略稽納二極體的導通電阻,則欲使電路振盪之R2應為何值?(A) 50kΩ (B) 80kΩ (C) 90kΩ (D) 100kΩ
20. 承第19題,輸出弦波V
out
的振幅與頻率分別約為何值?(A) 6.8V、300kHz (B) 7.5V、106 kHz (C) 6.1V、300 kHz (D) 6.1V、106 kHz
21. 圖(十一)為某電路中的一分支(branch),對此分支電路之特性敘述,下列有誤?
(A) 此分支每秒供應電路2焦耳(joule)的能量 (B) 將2庫侖(coulomb)的負電荷由B點移至A點,電場作功1焦耳 (C) 每秒通過A和B兩點的電荷量皆為2庫侖 (D) 此分支不可能一被動電阻元件
22. 如圖(十二)所示之電路,若A點之電位為VA=-60V,則電壓源之電壓E=?
(A) 100 V (B) 120V (C) 140V (D) 200V
23. 如圖(十三)所示之電路,βν
x
為非獨立(相依)電流源且β=1,求輸入等值電阻R
eq
=V
s
/ I
s
=?
(A) 3Ω (B) 5Ω (C) -3Ω (D) -5Ω
24.,試問V1與I6之值為阿?(A) V1=-2V、I6=-1A (B) V1=-2V、I6=-1A (C) V1=2V、I6=1A (D) V1=2V、I6=-1A
25. 承第24題,試問那些方塊扮演供應能量者角色?(A) (X3,X5) (B) (X1,X3,X5) (C) (X4,X5) (D) (X4,X3,X5)
26. 如圖(十五)所示之電路,方塊內電路僅含線性電阻,Ii為流經某一電阻Ri之電流且μ=1。表一為不同V
S1
及V
S2
狀況下所測得之I
i
及V
out
值,試求狀況四之V
out
=?
(A) 17/13 (B) 43/13 (C) 48/13 (D) 65/13
27. 圖(十六)為一理想運算放大器電路,下列何者為ab兩端看入之戴維寧等效電路?
28. 已知當t≧0
+
時,i
S
(t)之響應為
,時間常數τ=?(A) 0.5sec (B) 1.0sec (C) 2.0sec (D) 2.75sc
29. 承第28題,i
S
(0
+
)=?(A) 2.25mA (B) 1.75mA (C) -2.25 mA (D) -4.5 mA
30. 圖(十八)電路中,V
S
為單頻弦波信號之電壓相量,若以V
R
為參考相量,則下列相量關係圖(phasor diagram)何者正確?
31. 有一濾波器之轉移函數為,
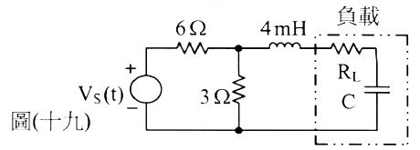
,則此濾波器之特性如何?(A) 低通濾波器(low-pass filter) (B) 帶通濾波器(band-pass filter) (C) 高通濾波器(high-pass filter) (D) 全通濾波器(all-pass filter)
32. 如圖(十九)所示之電路,
,求RL與C使得負載可吸收最大平均功率?
(A) R
L
=3Ω,C=1.76mF (B) R
L
=3Ω,C=0.1mF (C) R
L
=2Ω,C=0.5mF (D)R
L
=2Ω,C=0.25mF
33.令y'(t) 表示 y(t) 的一階微分,則下列之條件何者有誤?
34. 承第33題,若已知α>0且其暫態饗應呈臨界阻尼(critically damped)現象,則α=?(A) α= 12 (B) α=10 (C)α= 8 (D) α=4
35. 已知一電路的轉移函數為
。試問此電路的脈衝響應(impulse response)為何?
36. 試求電源端之電流I
S
=?(A) 3-j4 Arms (B) 3+J4 Arms (C) 4-j3 Arms (D) 4+j3 Arms
37. 承第36題,下列何種改善功率因數的方式可以有效降低負載消耗的實功率?
38. ,求其轉移函數H(s)=Vout / Vin(s)=?
39. 承第38題,此濾波器之特性為何?(A) 低通濾波器(low-pass filter) (B) 帶通濾波器(band-pass filter) (C) 高通濾波器(high-pass filter) (D) 全通濾波器(all-pass filter)
40. 圖(二十三)所示之電路,已知雙埠網路N1之傳輸參數為
。若整體網路之傳輸模型為
,試問下列之傳輸參數何者正確?
(A) t
11
=0.5s+1 (B) t
12
=3.5s+4 (C) t
21
=2s (D) t
22
=1
申論題 (0)
相關試卷
114年 - 114 四技二專統測_電機與電子群電機類 電機與電子群資電類_專業科目(一):基本電學、基本電學實習、 電子學、電子學實習#126877
114年 · #126877
113年 - 113 四技二專統測_電機與電子群電機、電資類_專業科目(一):基本電學、基本電學實習、 電子學、電子學實習#119627
113年 · #119627
112年 - 112 四技二專統測_電機與電子群電機、電資類_專業科目(一):基本電學(實習)、電子學(實習)#114333
112年 · #114333
111年 - 111 身心障礙學生升學大專校院甄試試題_四技二專組_電機與電子群電機、資電類_專業科目(一):基本電學、基本電學實習、電子學、電子學實習#118902
111年 · #118902
111年 - 111 四技二專統測_電機與電子群電機、電資類_專業科目(一):電子學(含實習)、基本電學(含實習)#107683
111年 · #107683
110年 - 110 四技二專統測_電機與電子群電機類、電機與電子群電資類_專業科目(一):電子學、基本電學#98522
110年 · #98522
109年 - 109 四技二專統測_電機與電子群電機類、電機與電子群資電類_專業科目(一):電子學、基本電學#85155
109年 · #85155
108年 - 108 四技二專統測_電機與電子群電機類、電機與電子群資電類_專業科目(一):電子學、基本電學#79927
108年 · #79927
107年 - 107 四技二專統測_電機與電子群電機類、電機與電子群資電類_專業科目(一):電子學、基本電學#68917
107年 · #68917
106年 - 106 四技二專統測_電機與電子群電機類、電機與電子群資電類_專業科目(一):電子學、基本電學#61702
106年 · #61702