阿摩線上測驗
登入
首頁
>
作業研究
> 96年 - 96 公務升官等考試_簡任_工業工程:作業研究(包括線性規劃與等候理論)#33075
96年 - 96 公務升官等考試_簡任_工業工程:作業研究(包括線性規劃與等候理論)#33075
科目:
作業研究 |
年份:
96年 |
選擇題數:
0 |
申論題數:
5
試卷資訊
所屬科目:
作業研究
選擇題 (0)
申論題 (5)
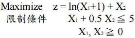
⑴求解下列問題。(15 分)
⑵寫出其對偶問題並求解。(15 分)
二、某大樓設有兩部電梯,因經常故障所以聘僱一位全職技師負責維護。修理一部電梯 的平均時間為 0.5 天之指數分配,故障間隔時間為平均一天的指數分配。就長期而 言,兩部電梯同時可用的妥善率為何?(30 分)
【已刪除】三、某企業設有三個工廠 A、B、C 生產供應同一產品,四個地區營業所甲、乙、丙、 丁,兩個轉運物流中心 X、Y。各地間之單位運輸成本與供需量如下表:
求解總運輸成本最低之運輸組合。(20 分)
【已刪除】四、求解下列問題:(20 分)