阿摩線上測驗
登入
首頁
>
化學反應工程學
> 96年 - 96 關務升官等考試_薦任_化學工程:化學反應工程#38209
96年 - 96 關務升官等考試_薦任_化學工程:化學反應工程#38209
科目:
化學反應工程學 |
年份:
96年 |
選擇題數:
0 |
申論題數:
6
試卷資訊
所屬科目:
化學反應工程學
選擇題 (0)
申論題 (6)
【已刪除】一、一均勻液相反應 A
B 於一批式反應器(batch reactor)中進行。反應開始時反應 器內只含有 A。當平衡時,轉化率(conversion)為 0.8;當時間為 1.5 h 時,轉化率 為 0.5。請計算此反應之反應速率常數(reaction rate constant)。(20 分)
【已刪除】二、物質 B 經由一可逆之異構化反應產生,反應式為 A
B,A 與 B 都是液體且互溶。 此反應之平衡常數(以濃度單位表示)為 6.8。現在有一純 A 進料進入一栓流式反 應器(plug flow reactor, PFR)中進行反應,反應之轉化率為 0.6,且此反應為基本 反應(elementary reaction)。如在此反應器後方再串接一完全相同之反應器,且操 作溫度相同,A 之轉化率將是多少?(20 分)
三、一實驗室級體積為 50 cm
3
之連續攪拌槽反應器(continuous stirred tank reactor, CSTR) 用於進行一不可逆的液相反應A →B + C 。對 A 而言,此反應可視為一階反應。當進 料僅含有 A,進料流率為 10.0 cm
3
/s 時,可得 A 之轉化率為 0.6。如果現在進料流 率增加為 5×10
4
cm
3
/s,進料僅含有 A 其莫耳流率為 10 mol/s,在相同的操作溫度與 壓力下,B 之產量必須達到 8.0 mol/s。如果整體之操作成本隨反應器體積之增加而 增加,你會選擇 CSTR 或栓流式反應器(PFR)進行操作?此反應器體積大小為多 少公升?(20 分)
⑴進料僅含有 A,其莫耳流率為 10 mol/s,進料中 A 的濃度為 2.0 mol/L。
⑵進料中另含 50 %的惰性物質,A 的濃度與進料體積流量與⑴中相同。
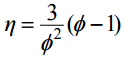
【已刪除】五、在一多孔性觸媒顆粒內進行一階反應A →B 。觸媒直徑為 0.8 公分。當沒有外部質 傳阻力時,量測資料顯示觸媒之有效因子η(effectiveness factor)為 0.3。觸媒顆粒 密度(particle density)為 1.0 g/cm
3
,觸媒內有效擴散係數(effective diffusivity)為 5×10
-4
cm
2
/s。根據文獻指出,當有效因子很小時,
。為了增大有效因子, 因此合成不同結構的觸媒顆粒。新合成出的觸媒直徑為 0.2 公分,觸媒顆粒密度為 1.0 g /cm
3
,有效擴散係數為 8×10
-3
cm
2
/s。由於沈積在觸媒上的金屬沒有改變,因此 假設小顆粒觸媒之反應動力式與大顆粒觸媒相同,請計算新觸媒之有效因子。(20 分)
相關試卷
114年 - 114 專技高考_化學工程技師:化學反應工程(亦稱化工動力學)#133683
114年 · #133683
114年 - 114 公務升官等考試_薦任_化學工程:化學反應工程學#133272
114年 · #133272
113年 - 113 專技高考_化學工程技師:化學反應工程(亦稱化工動力學)#123888
113年 · #123888
112年 - 112 地方政府特種考試_三等_化學工程:化學反應工程學#118337
112年 · #118337
112年 - 112 專技高考_化學工程技師:化學反應工程(亦稱化工動力學)#117641
112年 · #117641
112年 - 112 公務升官等考試_薦任_化學工程:化學反應工程學#117353
112年 · #117353
112年 - 112 高等考試_三級_化學工程:化學反應工程學#115757
112年 · #115757
111年 - 111 專技高考_化學工程技師:化學反應工程(亦稱化工動力學)#111956
111年 · #111956
111年 - 111 高等考試_二級_化學工程:高等化學反應工程學#111040
111年 · #111040
111年 - 111 高等考試_三級_化學工程:化學反應工程學#109726
111年 · #109726