阿摩線上測驗
登入
首頁
>
工程數學(應用數學, 線性代數、微分方程、複變函數與機率)
> 96年 - 96-2 警察特種考試_二等_刑事鑑識人員刑事物理組:工程數學#34427
96年 - 96-2 警察特種考試_二等_刑事鑑識人員刑事物理組:工程數學#34427
科目:
工程數學(應用數學, 線性代數、微分方程、複變函數與機率) |
年份:
96年 |
選擇題數:
0 |
申論題數:
7
試卷資訊
所屬科目:
工程數學(應用數學, 線性代數、微分方程、複變函數與機率)
選擇題 (0)
申論題 (7)
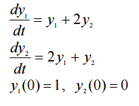
【已刪除】一、計算下列常微分方程組的解析解,
( y1)
t 和
( y 2)
t 。(20 分)
【已刪除】二、求出下列邊界值微分方程式(Boundary value problem)的傅立葉級數解(Fourier series solution), y(t)。(20 分)
【已刪除】三、試問通過下列實驗數據(data)的多項式(polynomial),其最小的次冪(degree) 為何?(20 分)
【已刪除】四、令 f (x) =
a
e
bx
及數據如下,試利用線性化技巧(linearization algorithm)和最小平方 差法(least-squares method),求得
a
和b值。(20 分)
⑴T(0,t) = 0
⑵T(L,t) = 0
⑶T(x,0) = f (x)
相關試卷
114年 - 114 專技高考_電機工程技師:工程數學(包括線性代數、微分方程、複變函數與機率)#133679
114年 · #133679
114年 - 114 專技高考_電子工程技師:工程數學(包括線性代數、微分方程、向量分析、複變函數與機率)#133677
114年 · #133677
114年 - 114 調查特種考試_三等_電子科學組:工程數學#129578
114年 · #129578
114年 - 114 國家安全情報特種考試_三等_電子組(選試英文):工程數學#127780
114年 · #127780
113年 - 113 專技高考_電子工程技師:工程數學(包括線性代數、微分方程、向量分析、複變函數與機率)#123976
113年 · #123976
113年 - 113 專技高考_電機工程技師:工程數學(包括線性代數、微分方程、複變函數與機率)#123971
113年 · #123971
113年 - 113 調查特種考試_三等_電子科學組:工程數學#122110
113年 · #122110
113年 - 113 身心障礙特種考試_三等_電力工程:工程數學#119517
113年 · #119517
112年 - 112 地方政府特種考試_三等_電力工程、電子工程:工程數學#118376
112年 · #118376
112年 - 112 專技高考_電機工程技師:工程數學(包括線性代數、微分方程、複變函數與機率)#117639
112年 · #117639