阿摩線上測驗
登入
首頁
>
工程數學(應用數學, 線性代數、微分方程、複變函數與機率)
> 97年 - 97 專技高考_電子工程技師:工程數學(包括線性代數、微分方程、向量分析、複變函數與機率)#36689
97年 - 97 專技高考_電子工程技師:工程數學(包括線性代數、微分方程、向量分析、複變函數與機率)#36689
科目:
工程數學(應用數學, 線性代數、微分方程、複變函數與機率) |
年份:
97年 |
選擇題數:
0 |
申論題數:
6
試卷資訊
所屬科目:
工程數學(應用數學, 線性代數、微分方程、複變函數與機率)
選擇題 (0)
申論題 (6)
【已刪除】一、解
。(20 分)
【已刪除】二、若 c 為圓 │z +1│= 2,求圍線積分
。(20 分)
三、解微分方程式 (x -1)
2
y " + 3(x -1)y ' + y = (x-1>0)。(15 分)
【已刪除】四、設隨機變數x為 Poisson 分布,試證
。(15 分)
【已刪除】五、試求
之橢圓面積。(15 分)
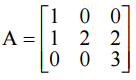
【已刪除】六、已知
,f(x)=x
4
-6x
3
+5x
2
+2x-3 ,求 f (A)。(15 分)
相關試卷
114年 - 114 專技高考_電機工程技師:工程數學(包括線性代數、微分方程、複變函數與機率)#133679
114年 · #133679
114年 - 114 專技高考_電子工程技師:工程數學(包括線性代數、微分方程、向量分析、複變函數與機率)#133677
114年 · #133677
114年 - 114 調查特種考試_三等_電子科學組:工程數學#129578
114年 · #129578
114年 - 114 國家安全情報特種考試_三等_電子組(選試英文):工程數學#127780
114年 · #127780
113年 - 113 專技高考_電子工程技師:工程數學(包括線性代數、微分方程、向量分析、複變函數與機率)#123976
113年 · #123976
113年 - 113 專技高考_電機工程技師:工程數學(包括線性代數、微分方程、複變函數與機率)#123971
113年 · #123971
113年 - 113 調查特種考試_三等_電子科學組:工程數學#122110
113年 · #122110
113年 - 113 身心障礙特種考試_三等_電力工程:工程數學#119517
113年 · #119517
112年 - 112 地方政府特種考試_三等_電力工程、電子工程:工程數學#118376
112年 · #118376
112年 - 112 專技高考_電機工程技師:工程數學(包括線性代數、微分方程、複變函數與機率)#117639
112年 · #117639