阿摩線上測驗
登入
首頁
>
作業研究
> 97年 - 97 經濟部所屬事業機構新進職員甄試_工業工程:作業研究#38215
97年 - 97 經濟部所屬事業機構新進職員甄試_工業工程:作業研究#38215
科目:
作業研究 |
年份:
97年 |
選擇題數:
50 |
申論題數:
0
試卷資訊
所屬科目:
作業研究
選擇題 (50)
1.下列哪一個是線性方程式? (A) a
2
x—b
2
y = c
2
(B) ax
2
+ by
2
= c (C) ax + by + cxy = d (D)
2.
Max Z=2X
1
+ 3X
2
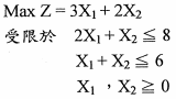
此線性規劃方程式之解是下列哪一種? (A)唯一最佳解 (B)多重最佳解 (C)無界限解 (D)無可行解
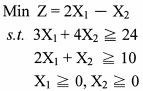
3.
此線性規劃方程式之解是下列哪一種? (A)唯一最佳解 (B)多重最佳解 (C)無界限解 (D)可行解
4. 用簡捷法,應先考慮讓哪個變數當作進入變數? (A)X
1
(B)X
2
(C)X
3
(D)X
4
5•下述4個建立運輸問題起始可行解的方法中,哪個是針對極大化問題而不須轉換? (A)最低成本法 (B)西北角法 (C) Vogel近似法 (D) Russell近似法
6.在PERT技術中所謂的Optimistic time是指 (A)最適時間 (B)最可能時間 (C)最有利時間 (D)最不利時間
7.在建立AON網路圈時ES代表: (A)最容易作業時間 (B)最早開始時間 (C)最早完成時間 (D)前置作業時間
8.在計算寬鬆時間ST時,下列何者為真? (A) ST = LS—LF (B) ST = ES — LS (C) ST = LS—ES (D) ST = LF - EF
9.此問題的對偶問題目標式為: (A) y
0
= y
1
+ 2y
2
(B) y
0
= y
1
— y
2
(C) y
0
= 一 y
1
+ y
2
(D) y
0
= 6y
1
+ 4y
2
10.對偶問題有幾個限制式? (A) 2 (B)3 (C)4 (D)5
11.y
1
及y
2
的範圍分別為: (A) y
1
,y
2
≧ 0 (B)y
1
,y
2
≦ 0 (C)y
1
不受限,y
2
≧ 0 (D) y
1
≧0,y
2
不受限
12.用西北角法求得B→2的運輸量為: (A) 100 (B) 50 (C) 270 (D) 150
13.西北角法求得D→3的運輸量為: (A) 150 (B) 30 (C)210 (D)沒有值
14.西北角法求得之總運輸成本為: (A) 105400 (B) 105100 (C) 104800 (D)無限大
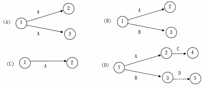
15.以下哪一個網路繪製圖是錯誤的?
16.此專案要徑為何? (A) A—D—H (B)B—F (C)C—E—F (D)C—E—G—I
17.此專案完工時間為何? (A) 24 天 (B) 25 天 (C) 26 天 (D) 27 天
18. H的寬裕時間(slack time)為: (A) 0 天 (B) 1 天 (C) 6 天 (D) 9 天
19.鴻海化學公司將新產品研發專案交給三小組人員同時獨立開發,只要有一組人員成功,該專 案就成功了 ;即除非三組全失敗,專案才失敗。現在想降低專案失敗的機率新聘2位人員, 欲分到三組中,三組獲得0人(即原情況)、1人、2人後失敗機率如下表:
請問該如何分配新進人員,可使得專案失敗機率最小?(以下各選項中的順序依序為第一組 、第二組、第三組) (A) (1,0,1) (B) (1,1,0) (C) (0,0,1) (D) (0,1,0)
20•試求
之競賽值: (A) 1 (B) 1.5 (C)2 (D)3
21•試求P=
之穩定狀態機率:
(A) π
1
= 0.5, π
2
=0.25, π
3
=0.25
(B)π
1
=0.3,π
2
= 0.2,π
3
= 0. 5
(C) π
1
= 0.5, π
2
=0.35, π
3
=0.15
(D) π
1
= 0.5, π
2
= 0.4,π
3
=0.1
22•若 P=
,試求其期望再現時間(Expected Recurrence Time )為: (A) u
1
=13, u
2
=12/13 (B) u
1
=19/18,u
2
=19 (C) u
1
=12, u
2
=l2/ll (D) u
1
=9,u
2
=9/8
【已刪除】23•此電話之設備利用率? (A) 3/5 (B) 2/5 (C) 3/4 (D) 1/4 (E)一律給分
【已刪除】24•某一通電話打不進去(即對方的「講話中」)之機率? (A) 11/16 (B) 9/16 (C) 7/16 (D) 5/16 (E)一律給分
【已刪除】25. L= ? (A) 3 通 (B)4 通 (C)5 通 (D)6 通 (E)一律給分
26. EPPI= ? (A) 7.7 (萬元) (B)8.7 (萬元)(C)9.7 (萬元) (D) 10.7 (萬元)
27. EVPI= ? (A) 0.45 (萬元) (B)2.45 (萬元) (C)4.45 (萬元) (D) 6.45 (萬元)
28.沒有客人光顧之機率? (A) 26/65 (B) 27/65 (C) 28/65 (D) 29/65
29.有一位顧客之機率? (A) 16/65 (B) 17/65 (C) 18/65 (D) 19/65
30.某一客人到達時,需要等候之機率? (A) 1/13 (B) 2/13 (C) 3/13 (D) 4/13
31.雙方各有多少策略可供選擇? (A) 11 (B) 12 (C) 13 (D) 14
32•若R方(Row)選R
3
(第三列),C方選C
1
(第一行),則報酬為多少?
(A)C方給R方4元)(B)R方給C方4元 (C)C方給R方5元 (D) R方給C方5元
33.下列何者不為作業研究之領域? (A)投資組合管理 (B)品質管理 (C)存貨管理 (D)專案的選擇
34.作業研究早期運用在何種學術領域? (A)工業工程 (B)資訊管理 (C)科技管理 (D)資訊工程
35. Linear Programming 之中文名稱為: (A)程式規劃 (B)數學規劃 (C)整數規劃 (D)線性規劃
36•依據例題一之題意^我們定義
X
1
=每週生產P1產品的箱數
X
2
=每週生產P2產品的箱數
請問X
1
和:X
2
是:
(A)目標變數 (B)限制變數 (C)決策變數 (D)限制函數
37•而例題一之目標函數為: (A) Max Z = 3000X
1
+ 5000X
2
(B) Max Z = 5000X
1
+ 3000X
2
(C) Max Z = 3000M1 + 5000P2 (D) Min Z = 5000X
1
+ 3000X
2
【已刪除】38.對於機器M2之產能限制式為: (A) 2X
1
+ X
2
≦ 20 (B) X
1
+ 2X
2
≦ 28 (C) 2X
1
+ X
2
≧ 20 (D) X
1
+ 2X
2
≧28 (E)一律給分
【已刪除】39.請問 X
1
=? (A) 350 (B) 327.27 (C) 336.52 (D) 372.36 (E)一律給分
【已刪除】40•請問 X
2
=? (A) 1527.32 (B) 1427.37 (C) 1472.73 (D) 1572.23 (E)一律給分
【已刪除】41.請問 X
3
= ? (A) 380(B)420(C) 400 (D) 390 (E)一律給分
【已刪除】42.請問 X
4
=? (A) 400 (B) 380 (C) 420 (D) 390 (E)一律給分
【已刪除】43•請問Z = ? (A) 5200 (B) 4710.91 (C) 4820.32 (D) 4931.56 (E)一律給分
44.
請問本題有幾個基解? (A) 5 (B)6 (C)8 (D) 10
45.此問題有幾個基解? (A) 17 (B)18 (C)19 (D) 20
46.此問題有幾個可行基解? (A) 6 (B)7 (C)8 (D)9
47.此問題之Z值為? (A) 20 (B) 30 (C) 24 (D) 36
48.請用Inspection方式求出最佳解Z = ? (A) 25 (B)35 (C)38 (D) 30
49.若目標函數改為極小化,請再以Inspection方式,求出最佳解Z = ? (A) -32 (B) -40 (C) -48 (D) -56
50.
Z=? (A) 62 (B) 68 (C) 78 (D) 69
申論題 (0)
相關試卷
114年 - 114 地方政府公務特種考試_三等_工業工程:作業研究#134713
114年 · #134713
114年 - 114 專技高考_工業工程技師:作業研究#133680
114年 · #133680
114年 - 114 高等考試_三級_工業工程:作業研究#128750
114年 · #128750
113年 - 113 地方政府公務特種考試_三等_工業工程:作業研究#124521
113年 · #124521
113年 - 113 專技高考_工業工程技師:作業研究#123885
113年 · #123885
113年 - 113 高等考試_三級_工業工程:作業研究#121489
113年 · #121489
112年 - 112 地方政府特種考試_三等_工業工程:作業研究#118325
112年 · #118325
112年 - 112 專技高考_工業工程技師:作業研究#117594
112年 · #117594
112年 - 112 公務升官等考試_薦任_工業工程:作業研究#117328
112年 · #117328
112年 - 112 高等考試_三級_工業工程:作業研究#115450
112年 · #115450