阿摩線上測驗
登入
首頁
>
工程數學(應用數學, 線性代數、微分方程、複變函數與機率)
> 97年 - 97 身心障礙特種考試_三等_電子工程:工程數學#36637
97年 - 97 身心障礙特種考試_三等_電子工程:工程數學#36637
科目:
工程數學(應用數學, 線性代數、微分方程、複變函數與機率) |
年份:
97年 |
選擇題數:
20 |
申論題數:
4
試卷資訊
所屬科目:
工程數學(應用數學, 線性代數、微分方程、複變函數與機率)
選擇題 (20)
1 有一微分方程式 y′′ + 0.2y′ + 4.01y = 0 , y(0) = 0 , y′(0) = 2 ,下列何者為其解? (A) y =e
0.1x
sin (−2x ) (B) y= e
0.1x
sin ( 2x) (C) y= e
− 0.1x
sin( − 2 x) (D) y= e
−0.1x
sin ( 2x)
2 下列何者為 R
2
至 R
3
之線性轉換(linear transformation)?
(A) L(x)= (0,x
1
, 0)
T
(B) L(x ) =(x
1
, x
2
, 0 )
T
(C) L(x)= (x
1
+ x
2
, x
1
)
T
(D) L(x)=(x
2
, x
1
+ x
3
, x
2
− x
1
)
T
3 下列敘述何者錯誤?
(A) x
3
y′′′ − 6xy′ + 12y =0 具有 y = x
a
形式的三個線性獨立解
(B) y = sin x是 y′′ − y′ − 2y = cos x + 3sin x 的特解
(C) y′′ − y′ − 2y = 0具有 y = e
ax
形式的兩個相異解
(D) c
1
e
−x
+ c
2
e
2x
y= 是 y′′ − y′ − 2y = 0之通解
4 解微分方程式dy= (e
x
sinx −y) dx 時,需要用到下列那一個積分因子? (A) e
−x
(B) e
2x
(C) e
−2x
(D) e
x
5 求
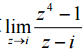
? (A)iπ (B)− iπ (C)π (D)−π
6 估計
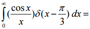
?其中δ (x)代表 Dirac Delta Function。 (A)π/3 (B) 3 /π(C)3/2π (D)2π/3
7 下列何者與向量(1, 2, 3), (1,0,2)為線性相依? (A)(0,0,1) (B)(1,4,4) (C)(0,1,2) (D)(1,1,1)
8 矩陣 M∈ R
n×n
, x∈R
n
為任一向量,下列何者情形時, x
T
Mx ≥0 不一定恆成立。 (A)當 M=A+A
T
(B)當 M=A-A
T
(C)當 M=AA
T
(D)當 M=A
T
A
9 試求函數
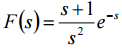
的逆拉式轉換(inverse Laplace transform)。 (A)u(t)+tu ( t −1 ) (B)[ 1+ t] u(t −1) (C)tu(t −1) (D)[t −1]u(t −1)
10 試求下列 3×3 Vandermonde 行列式:
? (A)(α − β )( β −γ)( γ −α ) B)αβγ − (α + β + γ ) (C)(β −α)( α −γ )(γ − β )(D)αβ − βγ −αγ
11 以下何者為 2/t (1−coshat ) 之拉布拉斯轉換式(Laplace transform)?
12 求
=? (A)− i (B)− 2i (C)− 3i (D)− 4i
13 下列那一個是(− 8 − 8 √3i )
1/ 4
的值? (A) √3 − i (B)− √3 − i (C)1− √3i (D)−1+ √3i
14 有一函數
,k > 0為常數,則傅立葉係數
? (A) 0 (B)1− cosnπ (C)
(D) 1
15 定義傅立葉轉換為
,求 F{f (x − a)}=?
16 若向量2i + aj + k, i + 2j − 3k 及3i − 4j + 5k 同在一個平面上,則常數 a 等於? (A) 4 (B) 0 (C) 3 (D)−1
17 級數
與下列那一級數相等?
18 給定一個常態分布(Normal Distribution)的隨機變數 X,它的期望值(mean)為 5,變異值(variance)為 4,已知 P(X > C ) = 0.84,也就是 X 大於 C 的機率為 0.84。則 C 最接近下列那一個值? (A)− 3 (B) 0 (C) 3 (D) 6
19 向量函數
在第一象限球面 S:x
2
+ y
2
+ z
2
= 1 (x ≥0 ,y ≥0 ,z ≥0 ) 之面積分
值為: (A)1/3 (B) 4/3π (C)−1 (D) −1/2 π
20 設 x 為連續隨機變數,其機率密度函數為
,求 a。 (A)1/4(B)2/5 (C)1/2 (D)2/3
申論題 (4)
【已刪除】一、求出下 列 微分方程式的解:
(其中
)。(20 分)
【已刪除】二、考慮一條電線四分之一圓的電線 C,其定義為C = {x = 2cos(t), y = 2sin(t),0 ≤ t ≤ π / 2}。假 設在 C 上的質量密度函數為 ρ(x, y) = xy
2
,試計算其質心的座標
。(10 分)
三、給定一個連續的隨機變數 X,它的累積分佈函數(CDF, cumulative distribution function) 為F (x) =(1−e−
3x
), 0<x<∞。求此隨機變數 X 的期望值(mean)以及變異值(variance)。 (10 分)
【已刪除】四、設函數 f
1
(x) ,f
2
(x) 分別定義為:
。試問 f
1
, f
2
在閉區間 [ −1, 1] 是線性相依(linearly dependent)或是線性獨立(linearly independent)?並驗證 你的答案。(10 分)
相關試卷
114年 - 114 專技高考_電機工程技師:工程數學(包括線性代數、微分方程、複變函數與機率)#133679
114年 · #133679
114年 - 114 專技高考_電子工程技師:工程數學(包括線性代數、微分方程、向量分析、複變函數與機率)#133677
114年 · #133677
114年 - 114 調查特種考試_三等_電子科學組:工程數學#129578
114年 · #129578
114年 - 114 國家安全情報特種考試_三等_電子組(選試英文):工程數學#127780
114年 · #127780
113年 - 113 專技高考_電子工程技師:工程數學(包括線性代數、微分方程、向量分析、複變函數與機率)#123976
113年 · #123976
113年 - 113 專技高考_電機工程技師:工程數學(包括線性代數、微分方程、複變函數與機率)#123971
113年 · #123971
113年 - 113 調查特種考試_三等_電子科學組:工程數學#122110
113年 · #122110
113年 - 113 身心障礙特種考試_三等_電力工程:工程數學#119517
113年 · #119517
112年 - 112 地方政府特種考試_三等_電力工程、電子工程:工程數學#118376
112年 · #118376
112年 - 112 專技高考_電機工程技師:工程數學(包括線性代數、微分方程、複變函數與機率)#117639
112年 · #117639