阿摩線上測驗
登入
首頁
>
工程數學(應用數學, 線性代數、微分方程、複變函數與機率)
> 98年 - 98 調查特種考試_三等_電子科學組:工程數學#37298
98年 - 98 調查特種考試_三等_電子科學組:工程數學#37298
科目:
工程數學(應用數學, 線性代數、微分方程、複變函數與機率) |
年份:
98年 |
選擇題數:
0 |
申論題數:
13
試卷資訊
所屬科目:
工程數學(應用數學, 線性代數、微分方程、複變函數與機率)
選擇題 (0)
申論題 (13)
【已刪除】⑴曲率(curvature)
(6 分)
⑵扭率(torsion)τ (6 分)
求⑴ A
10
(6 分)
⑵e
A
(6 分)
⑴微分方程式 y ′′+ p(x) y ′ + q(x) y = r(x)⋯⋯⋯⋯⋯⋯⋯⋯(1)
請依下列程序解此方程式:
步驟一、令 y(x) = u(x)v(x),視v(x)為因變數,u(x)為參變數,求 y ′(x)、 y ′′(x) 並將 y(x)、 y′(x)、 y′′(x)代入方程式(1)中,得
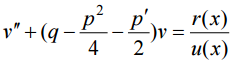
uv ′′ + (2u ′ + pu)v′ + (u ′′ + pu′ + qu)v = r(x)⋯⋯⋯⋯(2) (5 分)
【已刪除】步驟二、令2u ′ + pu = 0⋯⋯⋯⋯⋯⋯⋯⋯⋯⋯⋯⋯⋯⋯⋯(3)
將(3)式代入(2)式中,可將(2)式簡化為
將 (3)式代入 (2)式中,可將(2)式簡化為
⋯⋯⋯⋯⋯⋯⋯⋯⋯⋯(4) (5 分)
步驟三、解(4)式,可得 y = u(x)v(x) (本題之推導步驟應詳細寫出,否則不予計分)
【已刪除】⑵試依⑴之步驟求解微分方程式:
(10 分)
【已刪除】四、試用 Laplace 轉換法解常微分方程式:
(16 分)
之⑴ Fourier cosine integral (10 分)
【已刪除】 Fourier sine integral (10 分)
【已刪除】六、證明
(10 分)
【已刪除】七、求積分值
(方法不拘) (10 分)
相關試卷
114年 - 114 專技高考_電機工程技師:工程數學(包括線性代數、微分方程、複變函數與機率)#133679
114年 · #133679
114年 - 114 專技高考_電子工程技師:工程數學(包括線性代數、微分方程、向量分析、複變函數與機率)#133677
114年 · #133677
114年 - 114 調查特種考試_三等_電子科學組:工程數學#129578
114年 · #129578
114年 - 114 國家安全情報特種考試_三等_電子組(選試英文):工程數學#127780
114年 · #127780
113年 - 113 專技高考_電子工程技師:工程數學(包括線性代數、微分方程、向量分析、複變函數與機率)#123976
113年 · #123976
113年 - 113 專技高考_電機工程技師:工程數學(包括線性代數、微分方程、複變函數與機率)#123971
113年 · #123971
113年 - 113 調查特種考試_三等_電子科學組:工程數學#122110
113年 · #122110
113年 - 113 身心障礙特種考試_三等_電力工程:工程數學#119517
113年 · #119517
112年 - 112 地方政府特種考試_三等_電力工程、電子工程:工程數學#118376
112年 · #118376
112年 - 112 專技高考_電機工程技師:工程數學(包括線性代數、微分方程、複變函數與機率)#117639
112年 · #117639