阿摩線上測驗
登入
首頁
>
機械設計
> 99年 - 99 專利商標審查特種考試_三等_機械工程:機械設計學#33074
99年 - 99 專利商標審查特種考試_三等_機械工程:機械設計學#33074
科目:
機械設計 |
年份:
99年 |
選擇題數:
0 |
申論題數:
11
試卷資訊
所屬科目:
機械設計
選擇題 (0)
申論題 (11)
⑴應力單位 1 N mm
2
=1 Pascal。
⑵應力與應變關係可以表示為σ = Eε ,其中 E 為材料的抗拉強度。
⑶扭轉一枝粉筆導致斷裂時,其斷裂方向一定和粉筆的軸成 90°。
⑷零件(如滾動軸承)受到負載時材料並沒有立即產生破壞,而是在反覆受力超過 一定的次數後,才會發生破壞,此種破壞模式稱作應力集中。
⑸模數比為 2:1 的大齒輪和小齒輪,可以構成減速比 2:1 的齒輪組。
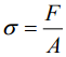
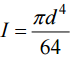
【已刪除】二、下圖是一圓形截面懸臂樑(截面直徑 50 mm)受到斜向下方的拉力,A、B 兩點的 應力狀態分別為張應力還是壓應力?試計算在 A、B 兩點的應力大小。正向應力計 算公式
,其中 F 為正向力,A 是樑之截面積;彎曲應力計算公式
,其 中 M 為彎矩, I 是樑截面之慣性矩,圓形截面
。本題僅需列出計算式,不 須精確計算數值。(20 分)
三、試繪圖描述兩正齒輪咬合時之基圓、節圓、壓力線、壓力角,並推導兩齒輪間正向 負荷(W
n
)、切線負荷(W
t
)及徑向負荷(W
r
)的關係。(20 分)
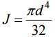
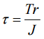
【已刪除】四、如右圖所示,圈形彈簧圓心處受一壓縮力 F F 時,對於彈簧鋼絲產生了大小為
的 扭力,此時鋼絲產生扭轉,其扭轉剪應力為
,且實心圓軸外徑為 d 時極慣性矩為
,試推導彈簧鋼絲之扭轉剪應力。 (20 分)
⑴工程圖常用的三視圖和等角視圖各是屬於何種投影法?(6 分)
⑵從投影中心和投影線來討論,兩種投影法基本原理有何不同?(6 分)
⑶從投影後物件的尺寸及平行度來討論,兩種投影法呈現的物件有何不同?(8 分)
相關試卷
115年 - 115 身心障礙特種考試_四等_機械工程:機械設計概要#138890
115年 · #138890
115年 - 115 身心障礙特種考試_三等_機械工程:機械設計#138882
115年 · #138882
114年 - 114 地方政府公務特種考試_三等_機械工程:機械設計#134728
114年 · #134728
114年 - 114 地方政府公務特種考試_四等_機械工程:機械設計概要#134719
114年 · #134719
114年 - 114 公務、關務升官等考試_薦任_機械工程、技術類(選試機械設計)-關務:機械設計#133265
114年 · #133265
114年 - 114 交通事業港務升資考試_員級晉高員級_技術類(選試機械設計)-港務:機械設計#133244
114年 · #133244
114年 - 114 高等考試_二級_機械工程:機械設計學#131583
114年 · #131583
114年 - 114 原住民族特種考試_四等_機械工程:機械設計概要#130917
114年 · #130917
114年 - 114 高等考試_三級_機械工程:機械設計#128741
114年 · #128741
114年 - 114 普通考試_機械工程:機械設計概要#128447
114年 · #128447