阿摩線上測驗
登入
首頁
>
流體力學與水文學
> 99年 - 99 專技高考_環境工程技師:流體力學與水文學#36117
99年 - 99 專技高考_環境工程技師:流體力學與水文學#36117
科目:
流體力學與水文學 |
年份:
99年 |
選擇題數:
0 |
申論題數:
7
試卷資訊
所屬科目:
流體力學與水文學
選擇題 (0)
申論題 (7)
【已刪除】一、已知兩薄板間距 0.1 mm,其間充滿油(黏滯性μ=3.6×10
-2
N ⋅ S / m
2
),若該油在薄板間 以單一方向流動且達到穩態層流狀態時,其流速分布為 u(y) =4u
max
[y/h−(y/h)
2
, 其中u
max
=0.02m/s ,詳如圖一所示,計算薄板受此流體運動的剪應力(Shear Stress)。(10 分)
【已刪除】二、已知一矩形桶子尺寸為 1 m × 1 m × 5 m,桶子中由上而下,分別為 SAE30 油 (ρ = 880 kg/m
3
),水( ρ = 998 kg/m
3
) ,水銀(ρ=13,550kg/m
3
) ,如圖二所示,計 算桶子的 AB 面受流體作用力大小。(10 分)
三、有一1/60 縮小比例的水下刮泥葉片模型,在水洞中以 10 m/s 的水流進行模型試驗時,測 得此模型的力矩為 2 m ⋅ N ,計算原型的水下刮泥葉片在污水池中實際操作時的運動速 度。(假設水洞及污水池的溫度均為 10℃,且水的密度 ρ = 1,000 kg/m
3
3 ,黏滯性 μ =1.31×10
-3
N•Sm
2
;污水的密度ρ= 1,026 kg/m
3
,黏滯性 μ=1.4×10
-3
N•S/m
2
(10 分)。
【已刪除】四、如圖三,一維渠道流,其中V
0
= 1 m/s及y
0
= 1 m,若其中上突段的最大高度h
max
= 15 cm,求上突段最大高度(h
max
)處的水面最大下降量。(15 分)
【已刪除】五、圖四所示,兩水槽以一水平完全光滑的水管連通,其中管的長度 L = 100 m,直徑 D = 5 cm。兩水槽水面落差為 20 m,此系統水體溫度為 20℃,ρ
w
= 992 kg/m
3
, μ = 0.001 kg/m⋅ s,且於①水槽與管路連接處的水頭損失係數為K
entr
= 0.5 ,管路連 接②水槽處的水頭損失係數為K
exit
=1.0 ,試計算管路的流量。(15 分)
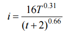
【已刪除】六、某一集水區的降雨強度-延時-頻率關係式為
其中 i:降雨強度(單位,公分/小時),t =延時(單位,分鐘),T:頻率(單位,年) 今有一場暴雨延時為 1 小時的平均降雨量 20 公分,計算此場暴雨的迴歸週期。(15 分)
【已刪除】七、已知一集水區其河道下游出口處一小時有效降雨延時的單位歷線如表一所示,且該 集水區的土壤入滲指數φ = 10mm/ hr 。若於今年十月十六日該集水區有場降雨強度 延時如表二所示,計算該場降雨造成的直接逕流歷線。(25 分)
相關試卷
114年 - 114 專技高考_環境工程技師:流體力學與水文學#133719
114年 · #133719
113年 - 113 專技高考_環境工程技師:流體力學與水文學#123920
113年 · #123920
112年 - 112 專技高考_環境工程技師:流體力學與水文學#117659
112年 · #117659
111年 - 111 專技高考_環境工程技師:流體力學與水文學#111924
111年 · #111924
110年 - 110 專技高考_環境工程技師:流體力學與水文學#104182
110年 · #104182
109年 - 109 專技高考_環境工程技師:流體力學與水文學#93205
109年 · #93205
108年 - 108 專技高考_環境工程技師:流體力學與水文學#80810
108年 · #80810
107年 - 107 專技高考_環境工程技師:流體力學與水文學#72893
107年 · #72893
106年 - 106 專技高考_環境工程技師:流體力學與水文學#66445
106年 · #66445
105年 - 105 專技高考_環境工程技師:流體力學與水文學#78789
105年 · #78789