阿摩線上測驗
登入
首頁
>
機動學
> 99年 - 99 高等考試_三級_汽車工程:機動學#46842
99年 - 99 高等考試_三級_汽車工程:機動學#46842
科目:
機動學 |
年份:
99年 |
選擇題數:
0 |
申論題數:
6
試卷資訊
所屬科目:
機動學
選擇題 (0)
申論題 (6)
一、何謂曲線平移運動(curvilinear translation motion)?(5 分)試列舉出兩種曲線平 移運動的例子。(5 分)
二、試繪簡圖說明何謂「右旋螺紋(right-handed thread)」?(5 分)何謂「左旋螺紋 (left-handed thread)」?(5 分)
三、如下圖所示之偏位滑件曲柄機構(offset slider-crank mechanism),滑件在兩極限位 置間的距離稱為衝程(stroke)。若a
0
a=20 mm,ab=50 mm,偏位量e=15 mm, 試求滑件的衝程。(20 分)
四、如下圖所示之齒輪系,齒輪 2 與齒輪 3 嚙合,並分別以旋轉對和齒輪架c鄰接。齒輪 2 的軸樞固定,其齒數T2=30。若齒輪 2 的轉速為 30 rpm(逆時針方向)、齒輪 3 的 轉速為 130 rpm(順時針方向)、齒輪架的轉速為 30 rpm(順時針方向),試求齒 輪 3 的齒數。(20 分)
五、有一組鏈條傳動裝置,鏈條節距(pitch)為 18 mm、主動輪齒數為 18,被動輪齒數為 12、中心距為 300 mm;主動輪轉速為 200 rpm。若考慮弦線作用(chordal action) 時,試求被動輪在運轉週期中的最小轉速。(20 分)
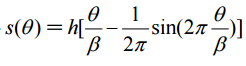
六、如下圖所示之具直動平面型從動件的盤形凸輪機構,凸輪以 300 rpm等速順時針方 向旋轉,其基圓半徑為 40 mm。當凸輪的角位移為 0~120°時,從動件以擺線運動 上升 24 mm;當凸輪的角位移為 120°~180°時,從動件暫停;當凸輪的角位移為 180°~300°時,從動件以擺線運動下降 24 mm;當凸輪的角位移為 300°~360°時, 從動件暫停。從動件和凸輪的接觸點A與凸輪旋轉軸樞O
2
的水平距離為q。試求在運 轉週期中q的極大值qmax。(點Q是凸輪與從動件的速度瞬心。擺線運動曲線的位移 θ 1 θ 方程式為
)。(20 分)
相關試卷
105年 - 105 高等考試_三級_汽車工程:機動學#54436
105年 · #54436
104年 - 104 高等考試_三級_汽車工程:機動學#42609
104年 · #42609
103年 - 103 高等考試_三級_汽車工程:機動學#43154
103年 · #43154
102年 - 102 高等考試_三級_汽車工程:機動學#44077
102年 · #44077
101年 - 101 高等考試_三級_汽車工程:機動學#44917
101年 · #44917
100年 - 100 高等考試_三級_汽車工程:機動學#45668
100年 · #45668
97年 - 97 公路特種考試_高員三級_汽車工程:機動學#48933
97年 · #48933
96年 - 96 交通事業郵政升資考試_員級晉高員級_機械工程:機動學#51090
96年 · #51090