複選題
14. 下列對於根式的敘述何者正確? 
答案:登入後查看
統計: A(8), B(62), C(143), D(133), E(0) #1790498
統計: A(8), B(62), C(143), D(133), E(0) #1790498
詳解 (共 7 筆)
#5402667
回4F:
√-5 x √-5 = √5i x √5i = i^2 x 5 = -5
如最佳解下方所示:
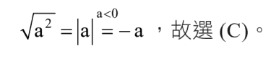
若a<0
(√a)^2 = √ax√a = a=>同D選項
0
0
#4134889

0
0