1.下列何者不會影響藥品的比旋光度(specific rotation)?
(A)溫度
(B)溶劑
(C)燈源波長
(D)貯液管長度
答案:登入後查看
統計: A(765), B(1342), C(1168), D(7010), E(0) #1942971
統計: A(765), B(1342), C(1168), D(7010), E(0) #1942971
詳解 (共 10 筆)
#3485519
旋光度是根據鈉光D線在定溫下用某濃度與某溶劑測量
比旋光度是根據旋光度除去濃度,比旋光度所得。
所以濃度和管長兩個變數被除去不影響比旋光度的值,使其固定。
結論:原本旋光度被(濃度,波長,管長,溶劑,溫度)影響
比旋光度只要扣除公式分母修正的兩個係數,剩下的就是會影響的
129
6
#3185990
題目越考越老@@
33 下列何者影響化合物的比旋光度?
(A)溶液的濃度
(B)檢品溶液的比重
(C)貯液管的長度
(D)光源的波長
編輯私有筆記及自訂標籤
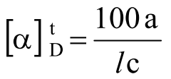
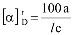
55 溶液之比旋光度公式為:
;若葡萄糖之比旋光度為+53°,今有一葡萄糖注射液,經用長度為 10 cm 之貯液管測得旋光度為+5.3°,則該注射液所含葡萄糖(C 6 H 12 O 6)濃度為:
(A) 1.0%
(B) 5.3%
(C) 10.0%
(D) 20.0%
12.某一藥物(2.0% (w/v) in 0.1 M HCl)在25 ℃,鈉D線為光源,在1 dm之儲液管,測得旋光度α= - 0.80,則其〔α〕值為何?
(A)- 0.4°
(B)- 0.8°
(C)- 4°
(D)- 40°
(A)- 0.4°
(B)- 0.8°
(C)- 4°
(D)- 40°
91
4
#4852510

看完樓上的結論
比旋光度只受等號左邊的數值影響
旋光度受等號兩側的各項數值影響
這樣不知道對不對
56
0
#3491456
旋光度受:濃度、溶劑、溫度、波長影響
比旋光度:僅溫度、波長、溶劑
無論如何不受貯液管長度影響
其實我不太確定,請各位大大更正ˊˇˋ
46
19
#3492546
對ㄟ~~已更正,感謝
6
3
