14.毛細管黏度計管壁處之切應力與下列何項因素成正比?
(A)毛細管半徑
(B)待測液體體積
(C)毛細管長度
(D)待測液體密度
統計: A(2796), B(347), C(656), D(2661), E(0) #1384130
詳解 (共 10 筆)
這題問的是切應力π=(R*ΔP)/(2L),所以是正比於半徑、壓力差,反比於毛細管長度,與密度無關。
R:毛細管內半徑,ΔP:壓力差,L:毛細管長度
-----------------------------------------------------------------------------------------------------------
16.以毛細管黏度計在相同條件下測量兩種牛頓性液體,其黏滯係數的差異除了通過時間外,另外為:
(A)毛細管半徑
(B)毛細管長度
(C)待測液體體積
(D)待測液體密度
專技 - 藥劑學(包括生物藥劑學)- 102 年 - 102年第一次藥劑學(包括生物藥劑學)更正#9914
答案:D
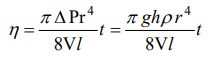
poiseuille's law: 
l 為毛細管長度,r 為毛細管半徑、V 為流體於時間 t 內流經毛細管之體積
∆P 為毛細管兩端之壓力差 (∆P=ghρ;g: 重力加速度、ρ:密度)
題目說在相同條件下,所以當固定同一支毛細管進行實驗時 r、 h、 V、 l 為固定值,而 8、π、g 為 常數
因此公式可改寫為 絕對黏度 η=Cρt
( C 為毛細管(或黏度計)之常數(=π g h r4/8Vl)、ρ : 密度、t : 時間)
所以這題選(D)
(D)16.以毛細管黏度計在相同條件下測量兩種牛頓性液體,其黏滯係數的差異除了通過時間外,另外為:
(A)毛細管半徑
(B)毛細管長度
(C)待測液體體積
(D)待測液體密度
雖然說算黏度的時候可以用η1/η2=kρ1t1/kρ2t2
我猜會不會是把ΔP換成ρgh的時候出了什麼問題
以原本的poiseuille's law來看,ΔP是毛細管兩端的壓力差
不知道在探討切應力(流動)的時候,還能不能將ΔP帶成ρgh(靜止)
機械系同學表示他算出來切應力會和ΔP、r成正比,和L成反比,看起來和密度無關
容易搞混的公式整理~
流體黏度:泊肅葉公式

黏度正比:毛細管兩端壓力差∆P、毛細管半徑r、流經時間t
反比:流體在時間t內流經毛細管的體積V、毛細管長度L
同一毛細管黏度計的流體
絕對黏度公式(上面公式的簡化)

(同一毛細管r,h,V,L相同、π,g,8為常數→簡化毛細管常數C=πghr4 /8VL)
絕對黏度正比:流體密度ρ、流經時間t
切應力公式

切應力正比:毛細管半徑r、毛細管兩端壓力差∆P
反比:毛細管長度L
切變速率公式

切變速率正比:流體在時間t內流經毛細管的體積V(=體積流率Q)
反比:毛細管半徑r