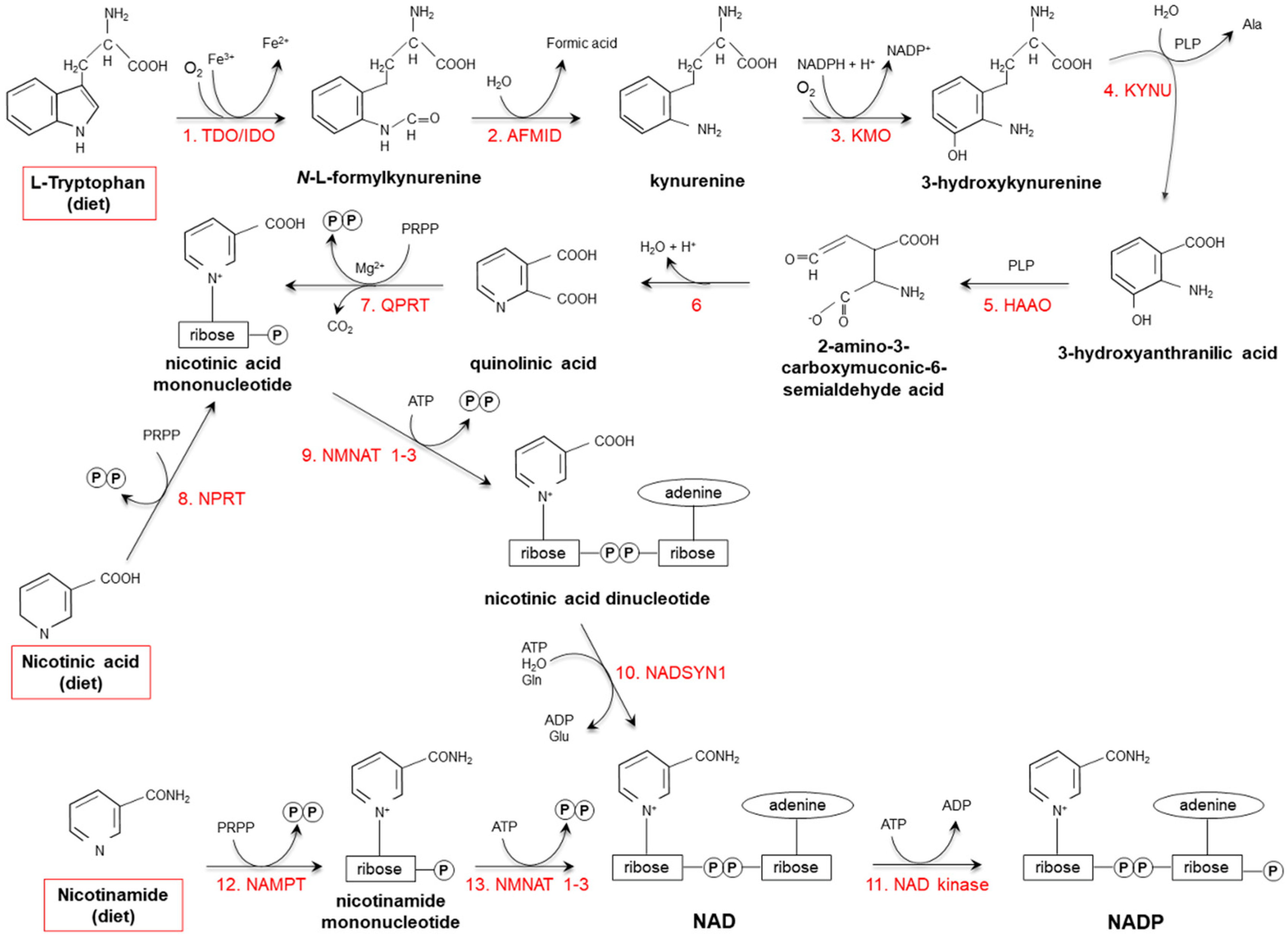
19 色胺酸(tryptophan)代謝形成菸鹼醯胺腺嘌呤雙核苷酸(NAD)的過程中,需要那些營養素協助
何種酵素進行代謝?①維生素 B1、色胺酸雙加氧酶(tryptophan dioxygenase) ②維生素 B1、甲
酰胺酶(formidase) ③維生素 B2、甲酰胺酶(formidase) ④維生素 B2、犬尿胺酸單加氧酶
(kynurenine monooxygenase) ⑤維生素 B6、犬尿胺酸酶(kynureninase) ⑥維生素 B12、犬尿
胺酸酶(kynureninase)
(A)①②
(B)②③
(C)④⑤
(D)⑤⑥
答案:登入後查看
統計: A(132), B(167), C(1228), D(161), E(0) #3068415
統計: A(132), B(167), C(1228), D(161), E(0) #3068415
詳解 (共 5 筆)
#6261879

6
0
#5898472
5
0