阿摩線上測驗
登入
首頁
>
教甄◆數學
>
112年 - 112 中區縣市政府教師甄選策略聯盟:數學#115785
> 試題詳解
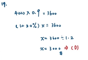
19. 有一商品其定價為4000元,依據定價打九折出售後,尚有20%的利潤,請問此商品之成本為何?
(A) 2800
(B) 2700
(C) 2750
(D) 3000 元
答案:
登入後查看
統計:
A(227), B(37), C(72), D(757), E(0) #3128146
詳解 (共 3 筆)
Chen Chen
B2 · 2023/07/20
#5890722
38
0
113應屆榜首上岸
B3 · 2024/02/17
#6029133
成本x ( 1+利潤率)=售價
23
0
rou021225
B1 · 2023/07/19
#5889483
(共 1 字,隱藏中)
前往觀看
15
0
相關試題
1. 如右圖,∆ABC為正三角形,∆DEF為等腰直角三角形,並且。 ∆DEF面積與灰色部分面積的比值為何?(A)(B) (C)(D)
#3128128
2. 下列哪一個選項中的二次函數經「向左平移3單位長,向上平移2單位長」後,與右圖中的函數圖形重合?(A) f(x)=-(x-1)2+4 (B)f(x)=-(x+2)2+ 2 (C)f(x)=-(x- 4)2+6 (D)f(x)=-(x- 4)2+2
#3128129
3. 坐標平面上有一直線L: 3x-5y +40=0。以直線L上一點(20,20)為圓心,將直線L逆時針旋轉45度,獲得新的直線k。則此直線k的X截距之x座標為何?(A) 10(B) 15(C) 20(D) 25
#3128130
4. 王老師要將10套相同的故事書擺放到櫃子的4個格子,每個格子至少要擺放1套故事書,請問有幾種擺放的方式? (A) 50 (B) 84 (C) 168 (D) 286
#3128131
5. 設a,b都是正數。若四數4,a,b,18中,前三項依序形成一等差數列,後三項依序形成一等比數列,則a+b=? (A) 12 (B) 16 (C) 18 (D) 20
#3128132
6. 在∆ABC中,的高是12, 的高是15,的高是20。則∆ABC的面積為何?(A) 150 (B) 160 (C) 200 (D) 300
#3128133
7. 甲、乙、丙三人結伴旅遊,夜晚投宿時,只剩下雙人床與單人床各一張。三人決定以抽籤的方式安排床位, 則甲、丙二人同睡雙人床的機率為何? (A) (B) (C)(D)
#3128134
8. 設,其中 ,求a。 (A) 3 (B) 4 (C) 8 (D) 14
#3128135
9. 已知a,b,c為正整數,若 a log5202+b log5205+ c log52013= 3,求 a +b +c。 (A) 5 (B) 6 (C) 12 (D) 15
#3128136
10. 某人上班有甲、乙兩條路線可供選擇,早上定時從家裡出發,走甲路線有的機率會遲到,走乙路線則有的機率會遲到。 無論走哪一條路線,只要不遲到,隔天就走同一條路線,否則就換另一條路線。假設他星期一走甲路線,求星期三也走甲路線的機率(星期二正常上班)。 (A) (B) (C)(D)
#3128137
相關試卷
115年 - 115 高雄中學_正式教師甄選試題:數學科#138213
2026 年 · #138213
115年 - 115-1 國立中興大學附屬高級中學_正式教師甄試試題:數學科#138079
2026 年 · #138079
115年 - 115-1 臺北市立第一女子高級中學_正式教師甄選測驗題試題:數學科#138077
2026 年 · #138077
115年 - 115 新竹市立成德高級中學_正式教師甄選:國中數學科#138019
2026 年 · #138019
115年 - 115 新竹市立成德高級中學_正式教師甄選:高中數學科#138018
2026 年 · #138018
115年 - 115 國立陽明交大附中_教師甄選試題:數學科#137883
2026 年 · #137883
115年 - 115-1 臺中市臺中第一高級中學_教師甄選試題:數學科#137882
2026 年 · #137882
114年 - 114 國立臺灣藝術大學教育學程招生考試_綜合學科:數學#137131
2025 年 · #137131
114年 - 114 高雄市市立國民小學教師聯合甄選-專長類-普通科目試題:數學#131662
2025 年 · #131662
114年 - 114 澎湖縣國民小學暨附設幼兒園教師/代理教師甄選試題:數學#131655
2025 年 · #131655