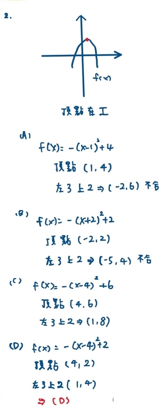
2. 下列哪一個選項中的二次函數經「向左平移3單位長,向上平移2單位長」後,與右圖中的函數圖形重合?
(A) f(x)=-(x-1)2+4
(B)f(x)=-(x+2)2+ 2
(C)f(x)=-(x- 4)2+6
(D)f(x)=-(x- 4)2+2
答案:登入後查看
統計: A(140), B(168), C(277), D(616), E(0) #3128129
統計: A(140), B(168), C(277), D(616), E(0) #3128129