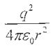
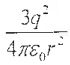
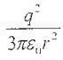
2.In free space with the permittivity of ε₀, there are two point charges of Q₁ = q and Q₂ = 6q located at (0, 2r, r) and (r, 0, 3r) in rectangular (Cartesian) coordinate system. what is the magnitude of the force experienced by Q₂?
(A)
(B)
(C)
(D)
(E) 
答案:登入後查看
統計: 尚無統計資料
統計: 尚無統計資料