24. 已知整數 x、y 滿足|x−3|+2|y−2|=1,則數對(x, y)有幾組解?
(A)0
(B)1
(C)2
(D)無限多組
答案:登入後查看
統計: A(18), B(29), C(103), D(28), E(0) #3247159
統計: A(18), B(29), C(103), D(28), E(0) #3247159
詳解 (共 2 筆)
#6389145
分析兩種合理情況
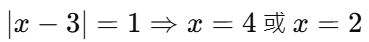
情況一:

ㅤㅤ
那 
→ 得到兩組解:
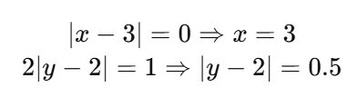
情況二(無效):

但 y 是整數,這裡會是 2.5 或 1.5 → 不合要求!
結論:
唯一的情況是:

所以答案是:(C) 2 組整數解
3
0