阿摩線上測驗
登入
首頁
>
教甄◆數學
>
113年 - 113 金門縣國民小學教師聯合甄選試題_國小基礎科目:數學#120887
> 試題詳解
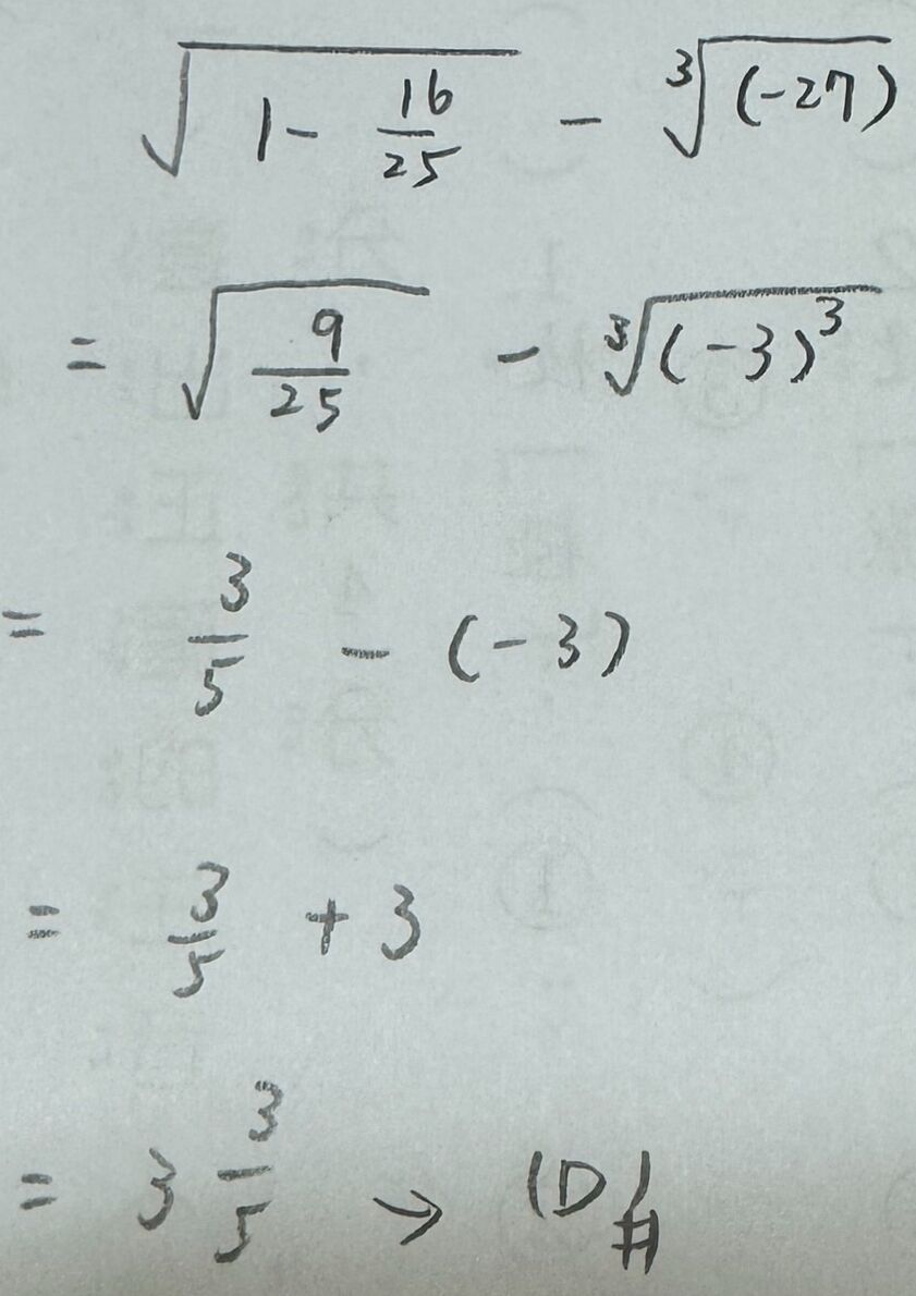
27、計算
(A)
(B)
(C)
(D)
答案:
登入後查看
統計:
A(10), B(15), C(42), D(182), E(0) #3269203
詳解 (共 3 筆)
台中大雅家教-睿智數學及英文家教,王瑞志老師
B2 · 2024/07/02
#6151817
(共 1 字,隱藏中)
前往觀看
11
0
Schrödinger's cat
B3 · 2024/07/02
#6151874
(共 1 字,隱藏中)
前往觀看
10
0
Chen Chen
B1 · 2024/07/02
#6151563
7
0
相關試題
26、如圖,△ABC與△BDE均為正三角形。已知∠AEB=93°,則∠EDC為多少度? (A) 33 (B) 30 (C) 27 (D) 23
#3269202
28、小華班上期中考的英文與數學成績統計如下:全班英文的平均分數為 65 分,標準差為5 分,數學的平均分 數為70 分,標準差為7 分。小華英文得 78 分,數學得84分,相較於全班同學,小華: (A)英文成績較佳 (B)數學成績較佳 (C)英文與數學一樣好 (D)平均數與標準差皆不同,兩科成績無法比較
#3269204
29、如下圖,將邊長為6的正三角形沿著水平線翻滾2次,求A點從開始到結束所經過的路線長? (A)12π (B)9π (C)8π (D)18
#3269205
30、已知六年甲班有10位男生與6位女生,導師要從中選取12人組成游泳隊培訓,若男、女生的人數相差不超過 兩位,請問有多少種可能的組合? (A)210 (B)720 (C)930 (D)1605
#3269206
31、已知有一長方體,其中的一面BFGC為正方形,= 1,請求出對角線的長度。 (A) (B)2 (C)(D)
#3269207
32、如下圖,已知ABCD為正方形,在與上各取一點P、Q,使得,則∠DPQ為多少度? (A)35 (B)40 (C)45 (D)50
#3269208
33、把1,2,3,4四個數字組成數字不重複的四位數,例如:2341,請問這些四位數的總和是多少? (A)24 (B)33330 (C)55550 (D)66660
#3269209
34、老師帶領小朋友玩投擲遊戲,他們要設計一張靶紙,如下圖。首先畫好圓心後,然後畫圓心外邊的環,從編 號9至最外邊的編號1,每個環之間的寬度都一樣 (半徑與寬度都是整數),他們發現編號9此環的面積是39π平方公分,試問編號6的環面積是?平方公分? (π=3.14) (A)54π (B)74π (C)93π (D)103π
#3269210
35、將正八邊形的桌子一邊和另外的正八邊形一邊碰在一起,合併組合成一長條狀,在桌子未碰觸到的邊上安置客人,每邊可以坐1人,若有N張桌子,可以坐幾人? 以下算式何者適合解決此問題? (A)6N+2 (B)10N+2 (C)4N+3 (D)4N+2
#3269211
36、下圖中灰色區域的面積是228cm2,試問正方形的邊長是?公分 (π=3.14) (A)100 (B)120 (C)20 (D)60
#3269212
相關試卷
115年 - 115 桃園市立陽明高中_教師甄選試題:數學科#139018
2026 年 · #139018
115年 - 115 國立高科實驗高級中等學校_專任教師甄選_國小部:普通科(數學)#138942
2026 年 · #138942
115年 - 115-1 國立彰化女子高級中學_教師甄選試題:數學科#138761
2026 年 · #138761
115年 - 115-1 臺中市立文華高級中等學校_教師甄選專業知能試題:數學科#138727
2026 年 · #138727
115年 - 115-2 台北市立建國高級中學_正式教師甄選試題:數學科#138704
2026 年 · #138704
115年 - 115-1 國立嘉科實驗高級中學_教師甄選試題_國中部:數學科#138695
2026 年 · #138695
115年 - 115-1 臺北市立中正高級中學_專任教師甄選初試試題:數學科#138690
2026 年 · #138690
115年 - 115-1 國立羅東高中_教師甄選初試︰數學科#138675
2026 年 · #138675
115年 - 115-1 臺南市立沙崙國際高級中學高中部_教師甄選試題:數學科#138673
2026 年 · #138673
115年 - 115-1 國立蘭陽女子高級中學_教師甄選試題︰數學科#138666
2026 年 · #138666