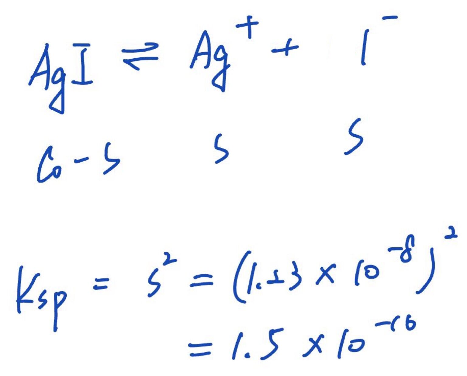
3.碘化銀飽和溶液於25℃時的濃度為1.23×10-8 莫耳/升,則其溶解度積(Ksp)為何?(碘化銀分子量為234.8)
(A)1.11×10-4
(B)1.23×10 -8
(C)2.46×10 -8
(D)1.5×10 -16
答案:登入後查看
統計: A(81), B(192), C(135), D(751), E(0) #3488271
統計: A(81), B(192), C(135), D(751), E(0) #3488271
詳解 (共 6 筆)
#6613577
AgI(s) ⇌ Ag⁺ + I⁻
飽和溶液濃度(溶解度)s = 1.23 × 10⁻⁸ M→Ksp = s²
Ksp = (1.23 × 10⁻⁸)² = 1.5129 × 10⁻¹⁶ ≈ 1.5 × 10⁻¹⁶
9
0
#7308522

0
0